Open Access

Fig. 3

image

Download original image

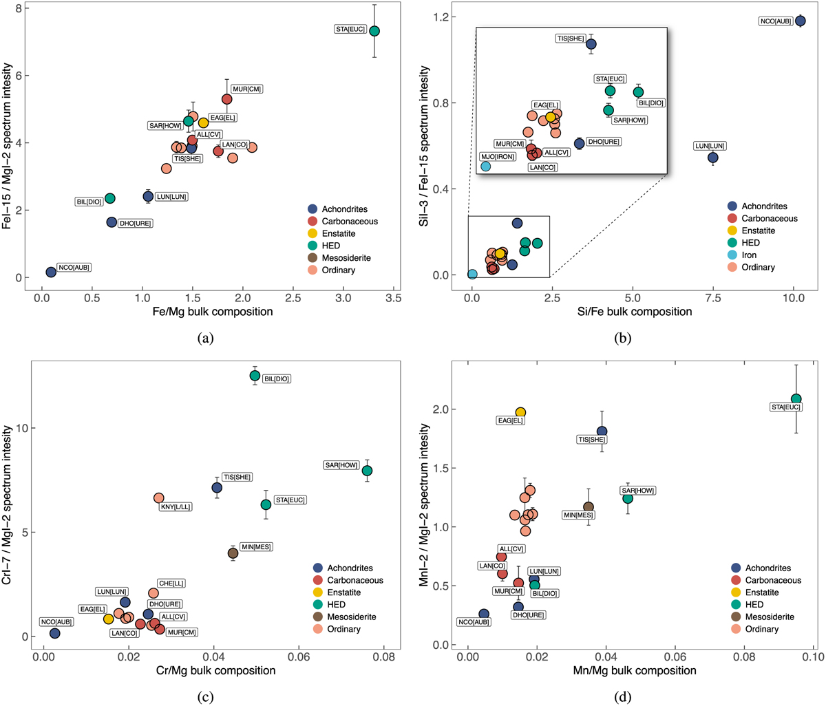
Correlation between the assumed original meteorite bulk chemical composition (Table 1) and the measured intensities of corresponding emission lines in spectra of ablated meteorites. Meteorite labels containing three letters from the meteorite’s name and classification are given for all meteorites except most ordinary chondrites. In all figures, the HED achondrites are plotted separately from the rest of the achondrites. In Fig. 3c, meteorite Ragland (LL chondrite) is outside the displayed limits with Cr I-7/Mg I-2 intensity ≈25.

Current usage metrics show cumulative count of Article Views (full-text article views including HTML views, PDF and ePub downloads, according to the available data) and Abstracts Views on Vision4Press platform.

Data correspond to usage on the plateform after 2015. The current usage metrics is available 48-96 hours after online publication and is updated daily on week days.

Initial download of the metrics may take a while.