Open Access
Fig. 5

Download original image
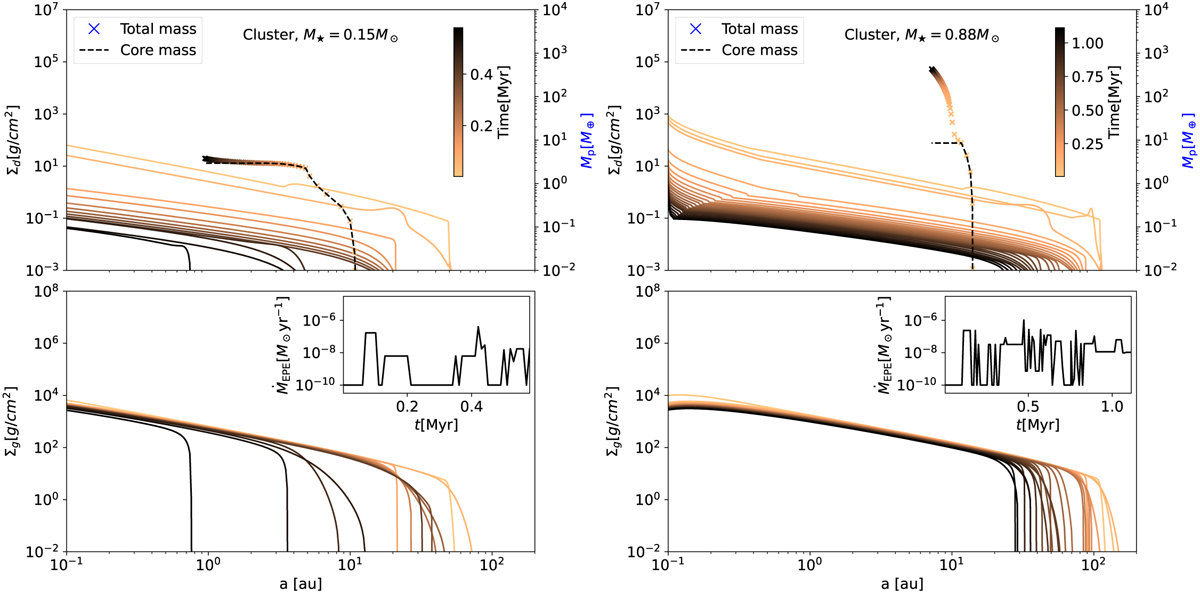
Same as Fig. 4, but in reference to the cluster. The star masses are 0.15 M⊙ (left) and 0.88 M⊙ (right). The insets on the top right of the bottom panels indicate the external photo-evaporation rate history the system experienced in the cluster.
Current usage metrics show cumulative count of Article Views (full-text article views including HTML views, PDF and ePub downloads, according to the available data) and Abstracts Views on Vision4Press platform.
Data correspond to usage on the plateform after 2015. The current usage metrics is available 48-96 hours after online publication and is updated daily on week days.
Initial download of the metrics may take a while.