Fig. 4.

Download original image
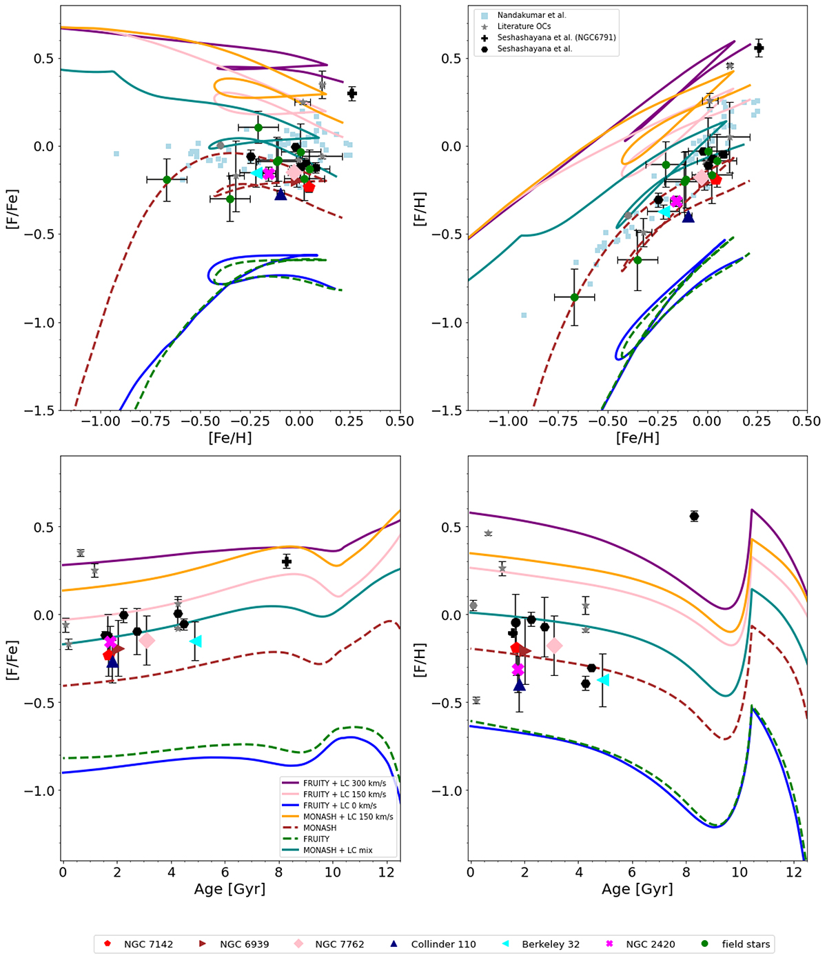
[F/Fe] and [F/H] against [Fe/H] (top) and age (bottom). The data points are measurements for OCs as well as field stars, and the lines are predicted from theoretical models. The OCs from our previous sample are shown as black hexagons. The figure shows the models that allow F to form from both LIMS and massive stars (solid lines) and the models that only allow F to form from AGB stars (dashed lines).
Current usage metrics show cumulative count of Article Views (full-text article views including HTML views, PDF and ePub downloads, according to the available data) and Abstracts Views on Vision4Press platform.
Data correspond to usage on the plateform after 2015. The current usage metrics is available 48-96 hours after online publication and is updated daily on week days.
Initial download of the metrics may take a while.