Open Access
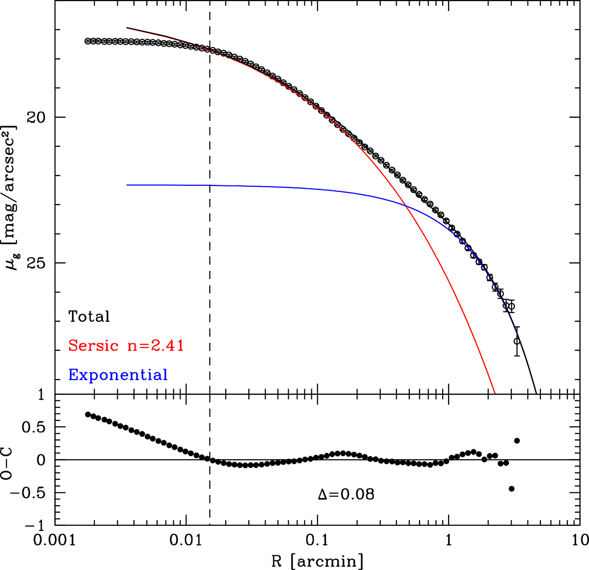
Fig. 10.

Download original image
Azimuthally averaged surface brightness profile of HCG48A in the g band. The best 1D multi-component fit is shown in the top panel. In the lower panel, we show the Δrms residual of the data minus the model (see text for details).
Current usage metrics show cumulative count of Article Views (full-text article views including HTML views, PDF and ePub downloads, according to the available data) and Abstracts Views on Vision4Press platform.
Data correspond to usage on the plateform after 2015. The current usage metrics is available 48-96 hours after online publication and is updated daily on week days.
Initial download of the metrics may take a while.