Open Access
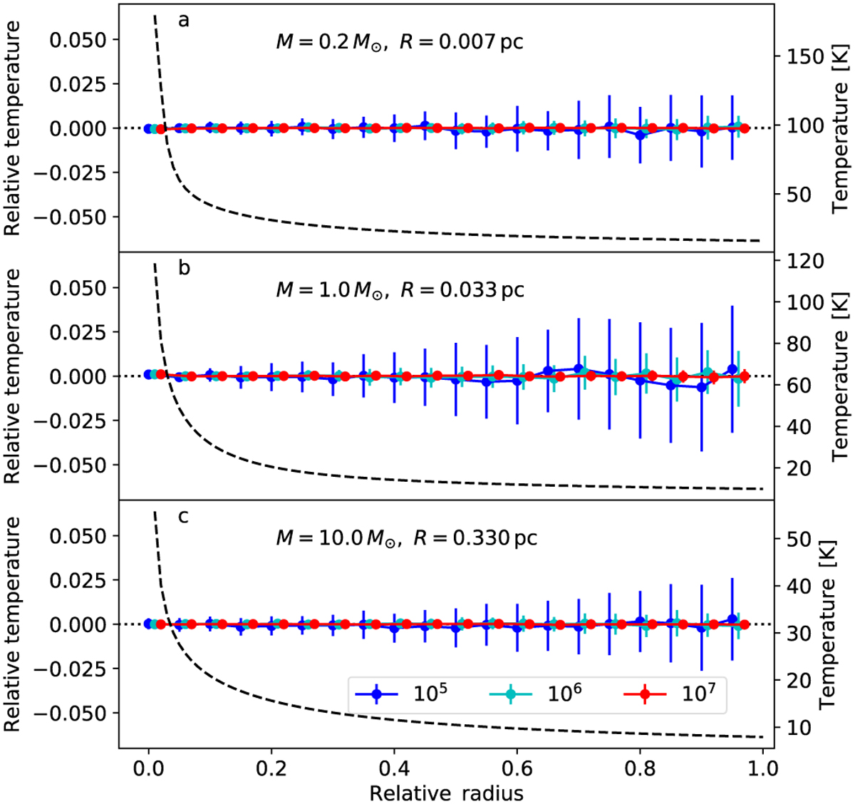
Fig. 3

Download original image
As in Fig. 2 but for models heated by a central source. The results are shown for 105, 106, and 107 photon packages, relative to runs with 108 photon packages.
Current usage metrics show cumulative count of Article Views (full-text article views including HTML views, PDF and ePub downloads, according to the available data) and Abstracts Views on Vision4Press platform.
Data correspond to usage on the plateform after 2015. The current usage metrics is available 48-96 hours after online publication and is updated daily on week days.
Initial download of the metrics may take a while.