Fig. 8

Download original image
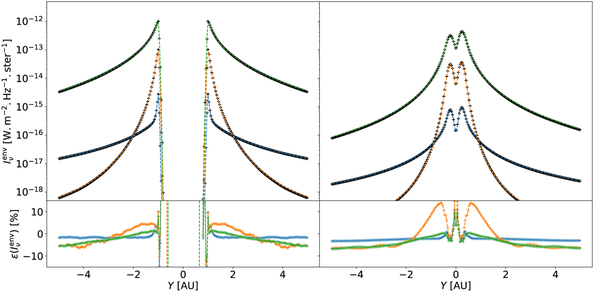
Image slices at x = 0 AU, for two inclinations i = 12.5 and 77.5 deg (left and right panels, respectively). The blue, orange, and green curves are the RADMC-3D intensities at λ = 2.3, 4.5, and 12.1 μm, respectively. The cross marks represent the solution from this study. The lower panels show the relative differences between the two codes.
Current usage metrics show cumulative count of Article Views (full-text article views including HTML views, PDF and ePub downloads, according to the available data) and Abstracts Views on Vision4Press platform.
Data correspond to usage on the plateform after 2015. The current usage metrics is available 48-96 hours after online publication and is updated daily on week days.
Initial download of the metrics may take a while.