Fig. 28.

Download original image
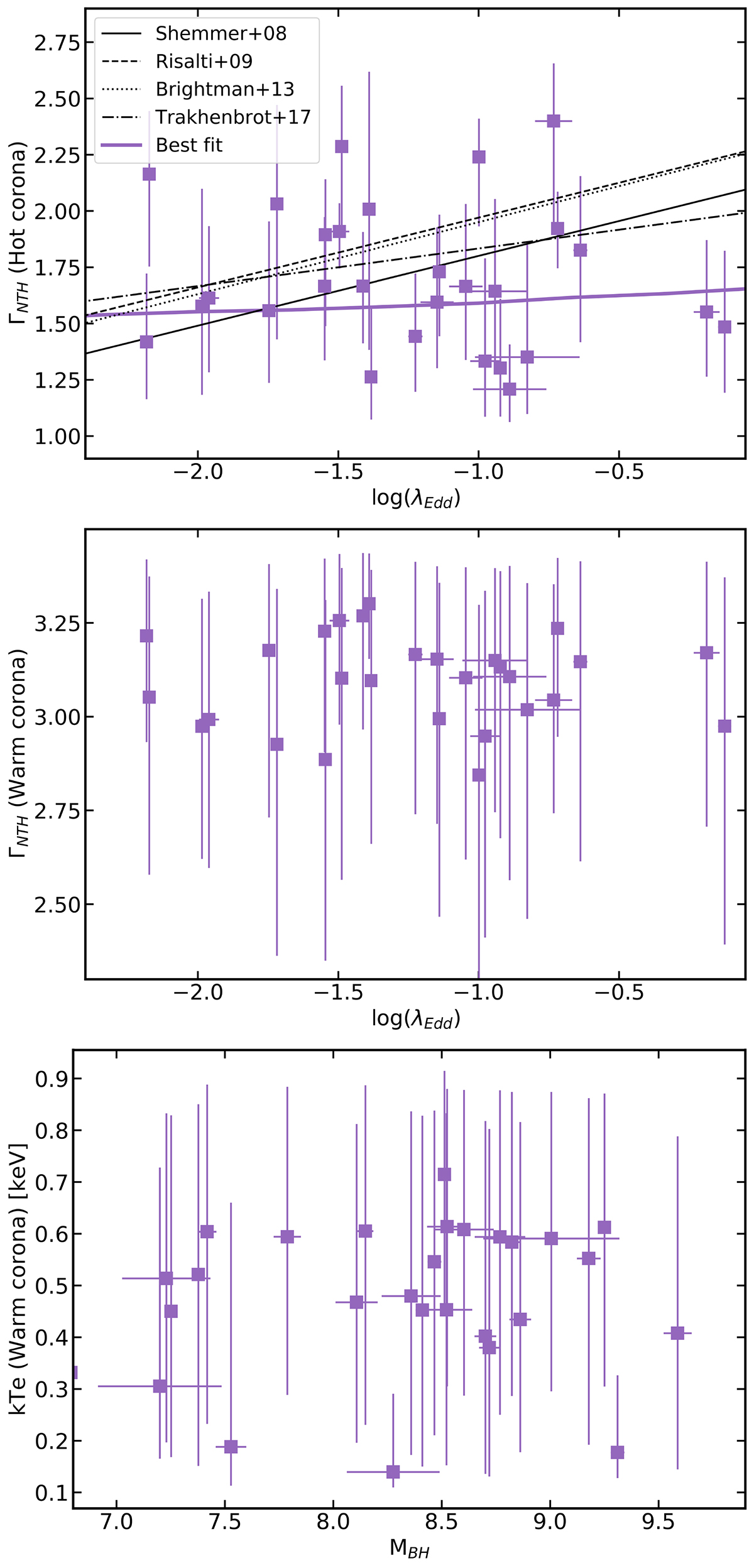
Relationship between warm corona parameters and optical derived parameter measurements. Top: relationship between Eddington ratio and hot corona photon index, shown for all sources with soft excesses. The best fit line and errors are shown by the shaded purple region. Correlations between these parameters found in previous works are shown in black lines of various line styles. Middle: Same as top, but for the warm corona photon index. Bottom: relationship between black hole mass and warm corona temperature, kT.
Current usage metrics show cumulative count of Article Views (full-text article views including HTML views, PDF and ePub downloads, according to the available data) and Abstracts Views on Vision4Press platform.
Data correspond to usage on the plateform after 2015. The current usage metrics is available 48-96 hours after online publication and is updated daily on week days.
Initial download of the metrics may take a while.