Fig. 1

Download original image
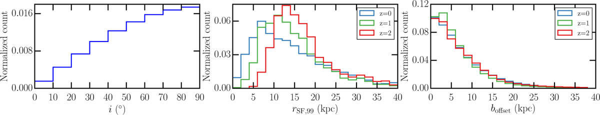
Distributions of galaxy inclination (i), galaxy radius (rSF,99) and FRB projected offset with respect to the center of their host galaxy. Left: i distribution of the galaxies, which is the same at every redshift. We define i as the angle between the total angular momentum vector of the galaxy’s stars and the LOS. Middle: distribution of rSF,99 at different redshifts. Right: distribution of boffset at different redshifts.
Current usage metrics show cumulative count of Article Views (full-text article views including HTML views, PDF and ePub downloads, according to the available data) and Abstracts Views on Vision4Press platform.
Data correspond to usage on the plateform after 2015. The current usage metrics is available 48-96 hours after online publication and is updated daily on week days.
Initial download of the metrics may take a while.