Fig. B.2

Download original image
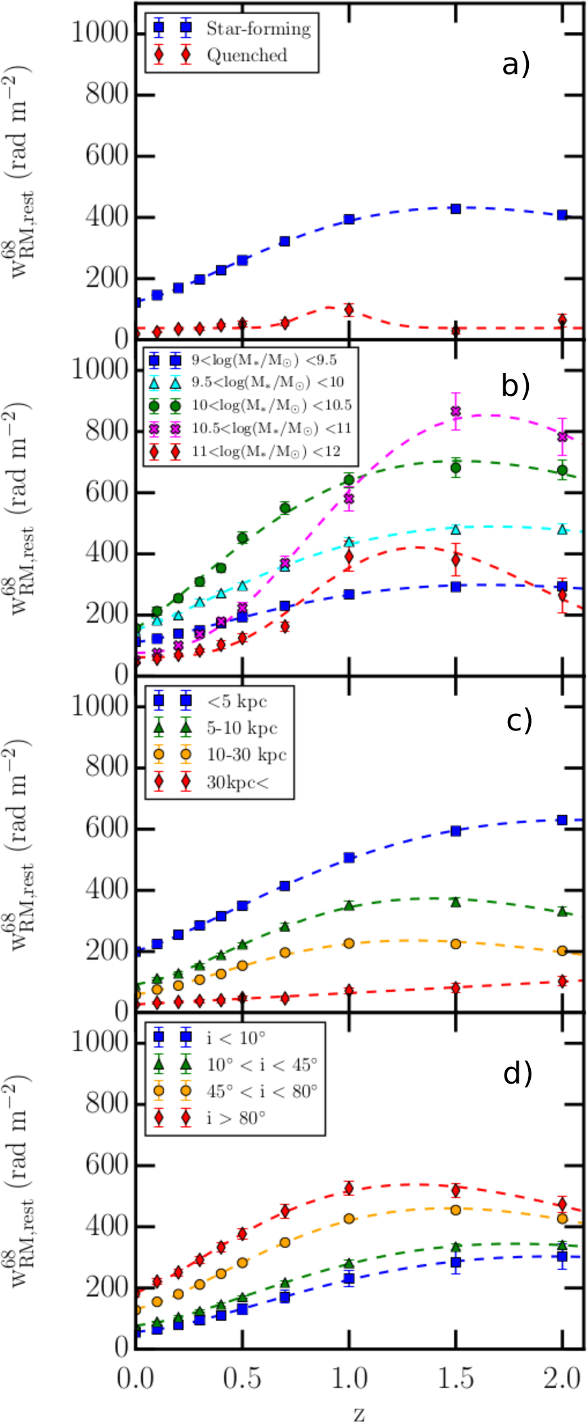
Redshift evolution of the width of the rest frame RM distribution (wRM,rest) of different subsets of galaxies. A curved power law can be fitted to each group. The error bars are from bootstrapping, a: quenched and star-forming galaxies. At high ɀ we only have a few (<10) quenched galaxies, which makes it difficult to obtain a good fit. b: different stellar mass bins, c: different inclinations, d: sightlines with different boffset.
Current usage metrics show cumulative count of Article Views (full-text article views including HTML views, PDF and ePub downloads, according to the available data) and Abstracts Views on Vision4Press platform.
Data correspond to usage on the plateform after 2015. The current usage metrics is available 48-96 hours after online publication and is updated daily on week days.
Initial download of the metrics may take a while.