Open Access
Fig. D.1

Download original image
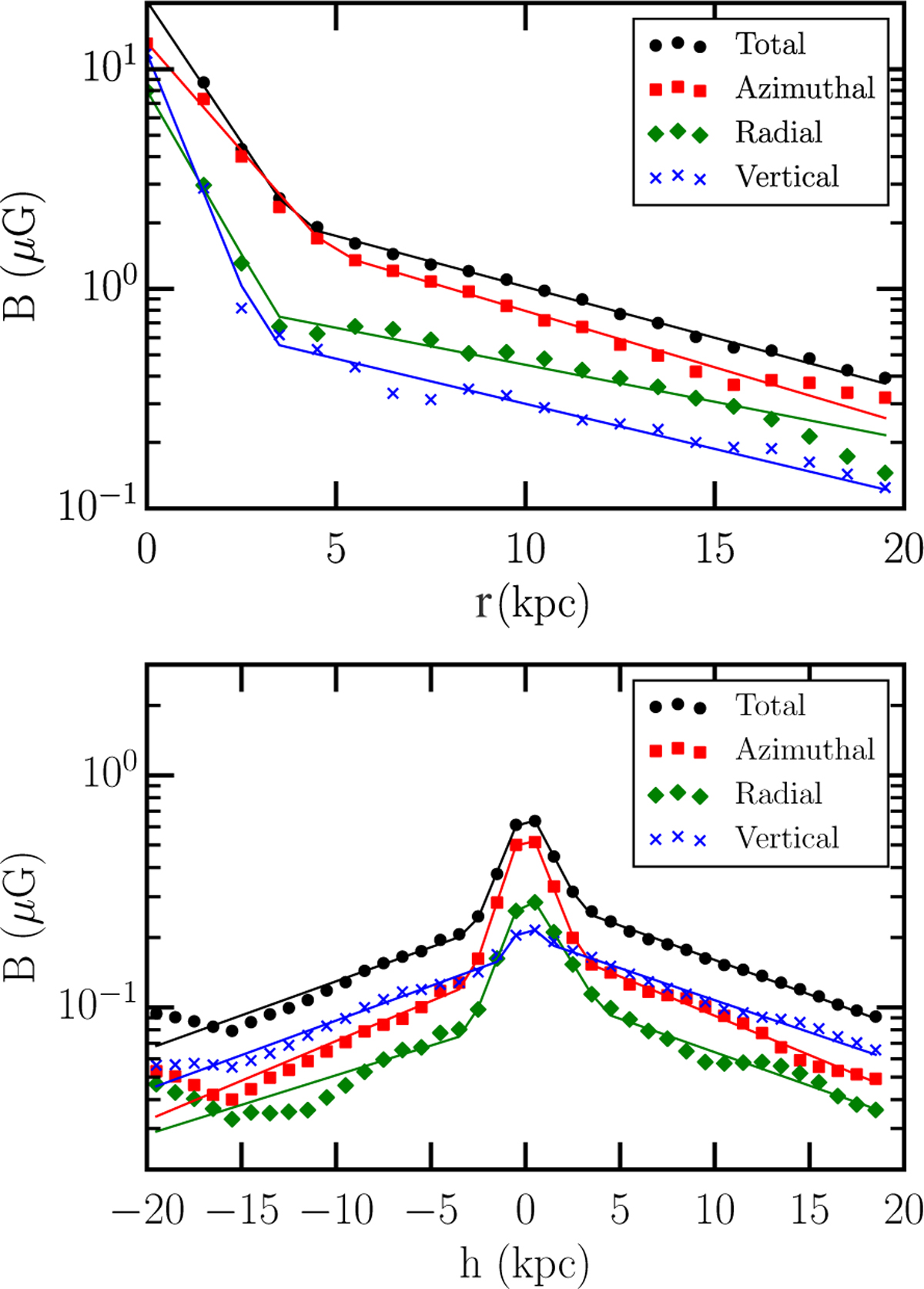
Radial (top) and vertical (bottom) profile of the total magnetic field strength and the magnetic field components of an example galaxy (ID487) at ɀ = 0, with a double exponential function fitted to each, and different fit parameters for the vertical profile below and above the mid-plane of the galaxy.
Current usage metrics show cumulative count of Article Views (full-text article views including HTML views, PDF and ePub downloads, according to the available data) and Abstracts Views on Vision4Press platform.
Data correspond to usage on the plateform after 2015. The current usage metrics is available 48-96 hours after online publication and is updated daily on week days.
Initial download of the metrics may take a while.