Open Access
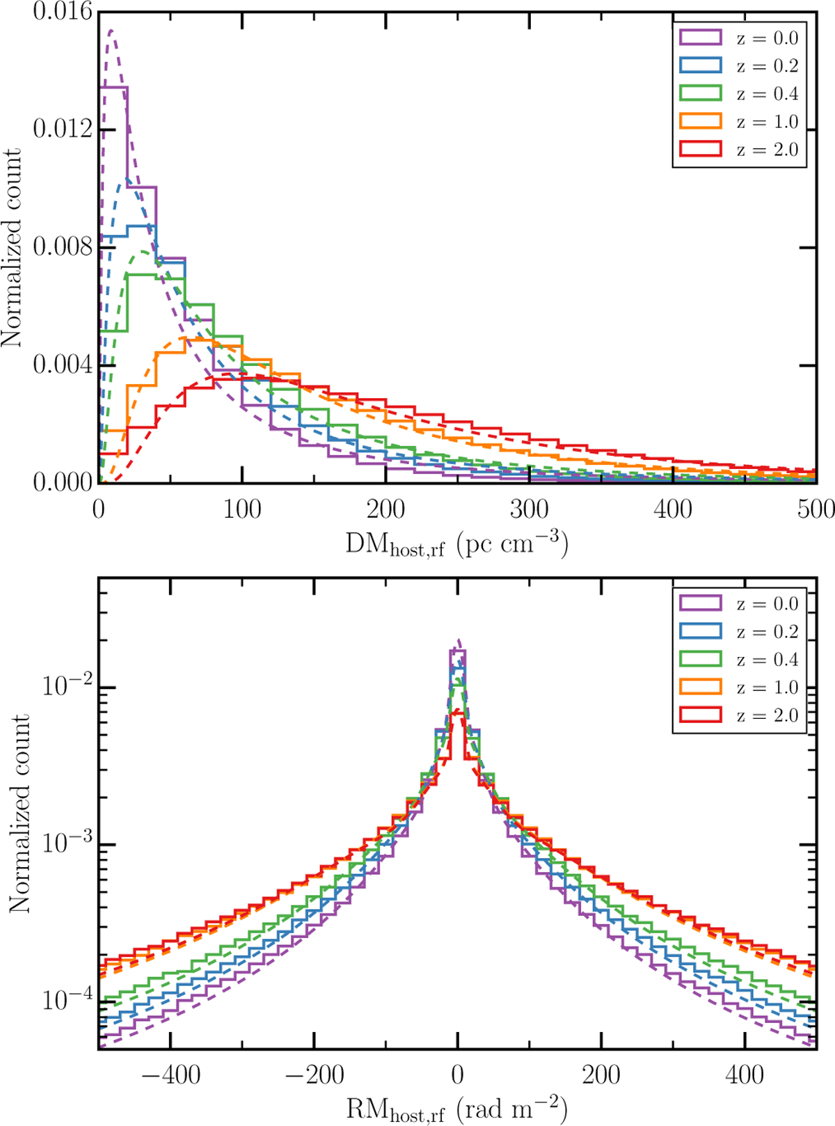
Fig. 3

Download original image
PDFs of the rest frame DM (top) and RM (bottom) contribution of host galaxies (of all galaxy types), using FRBs at different redshifts, indicated by different colors. The DM PDFs are modeled by a log normal, and the RM PDFs by the sum of a Lorentzian and two Gaussian functions, shown by the dashed lines.
Current usage metrics show cumulative count of Article Views (full-text article views including HTML views, PDF and ePub downloads, according to the available data) and Abstracts Views on Vision4Press platform.
Data correspond to usage on the plateform after 2015. The current usage metrics is available 48-96 hours after online publication and is updated daily on week days.
Initial download of the metrics may take a while.