Fig. 7

Download original image
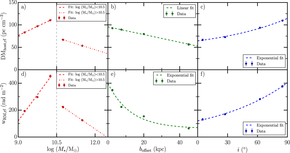
Median DMhost,rf changes (top) shown as a function of stellar mass (left), boffset (middle) and galaxy inclination (right). The bottom row shows the same for the RMhost,rf distribution width (wRM,rf). This figure shows these trends for galaxies at ɀ = 0.5. We note that the sudden drop at log(M*/M⊙) = 10.5 is due to the change in supermassive black hole feedback mechanism in the TNG50 simulation (see Sect. 2.1.2).
Current usage metrics show cumulative count of Article Views (full-text article views including HTML views, PDF and ePub downloads, according to the available data) and Abstracts Views on Vision4Press platform.
Data correspond to usage on the plateform after 2015. The current usage metrics is available 48-96 hours after online publication and is updated daily on week days.
Initial download of the metrics may take a while.