Fig. 8

Download original image
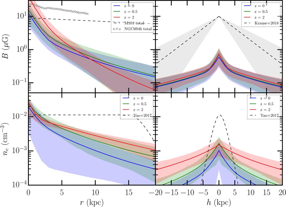
Averaged radial and vertical profile of B of galaxies at various redshifts, and their 1σ width (top). In the top left panel, we show the total magnetic strength profile of NGC6946 (Beck 2007) and M101 (Berkhuijsen et al. 2016). In the top right panel, we show the average vertical B profiles of CHANG-ES galaxies (Krause et al. 2018) with a scale-height of 6 ± 3 kpc. Averaged radial and vertical ne profile of galaxies at various redshifts, and their 1σ width (bottom). We overplotted the ne profiles of the thick disk from Yao et al. (2017).
Current usage metrics show cumulative count of Article Views (full-text article views including HTML views, PDF and ePub downloads, according to the available data) and Abstracts Views on Vision4Press platform.
Data correspond to usage on the plateform after 2015. The current usage metrics is available 48-96 hours after online publication and is updated daily on week days.
Initial download of the metrics may take a while.