Fig. 1

Download original image
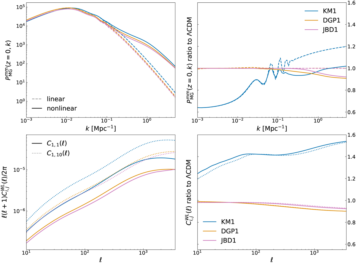
Large-scale structure observables for the different MG models evaluated at the fiducial values of the model parameters used for the Fisher matrix analysis. Top left: linear (dashed) and non-linear (solid lines) matter power spectrum Pδδ(z, k) entering Eqs. (36) and (30), respectively, evaluated at redshift ζ = 0, for KM1 (ϵ2,0 = –0.04, blue), JBD1 (ωBD = 800, red) and nDGPl (Ωrc = 0.25, green). Top right: ratio of the matter power spectra for the above mentioned models with respect to their ΛCDM counterpart with the same value of σ8 today, for the linear (dashed) and non-linear (solid) cases. Bottom left: cosmic shear (WL) angular power spectra for the auto-correlation of the first photometric bin (solid line) and the cross-correlation of the first and last bin
(dotted line), defined in Eq. (30) for the three models considered above, with the same colour labelling. Bottom right: ratio of the cosmic shear Ci,j(ℓ) to their ΛCDM counterpart, for the bin combination i = j = 1 and i = 1; j = 10.
Current usage metrics show cumulative count of Article Views (full-text article views including HTML views, PDF and ePub downloads, according to the available data) and Abstracts Views on Vision4Press platform.
Data correspond to usage on the plateform after 2015. The current usage metrics is available 48-96 hours after online publication and is updated daily on week days.
Initial download of the metrics may take a while.