Fig. 6.

Download original image
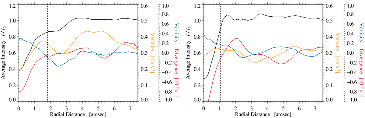
Radial averages of normalized intensity (black), horizontal velocity (orange), divergence (red), and vorticity (blue) for pores observed on 29 May (left) and on 6 June (right). The center of the pores is at the origin. The equivalent pore radii (1.81″ for 29 May and 1.06″ for 6 June) are marked by vertical dashed-lines in both panels.
Current usage metrics show cumulative count of Article Views (full-text article views including HTML views, PDF and ePub downloads, according to the available data) and Abstracts Views on Vision4Press platform.
Data correspond to usage on the plateform after 2015. The current usage metrics is available 48-96 hours after online publication and is updated daily on week days.
Initial download of the metrics may take a while.