Fig. 9.

Download original image
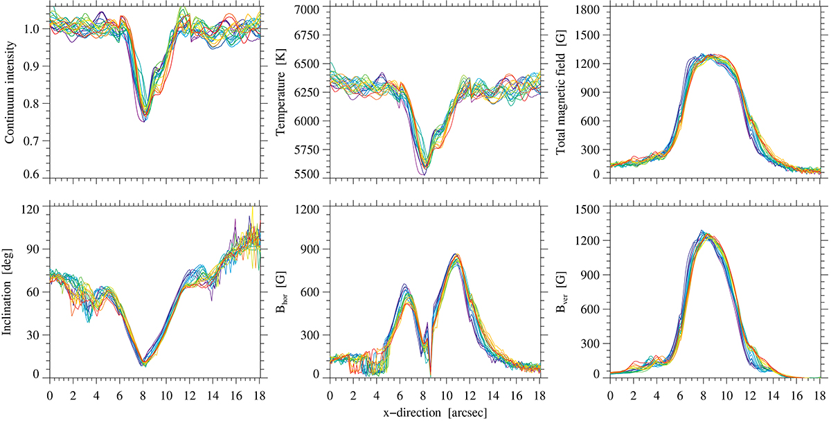
Physical parameters estimated in the Si I line: intensity, temperature, total magnetic field strength, inclination, horizontal magnetic field, and vertical magnetic field (top-left to bottom-right) for 20 scans on 29 May along the cutout in x-direction as marked in Fig. 7. The rainbow colors indicate the 20 scans with increasing order in time from blue to red.
Current usage metrics show cumulative count of Article Views (full-text article views including HTML views, PDF and ePub downloads, according to the available data) and Abstracts Views on Vision4Press platform.
Data correspond to usage on the plateform after 2015. The current usage metrics is available 48-96 hours after online publication and is updated daily on week days.
Initial download of the metrics may take a while.