Fig. 11

Download original image
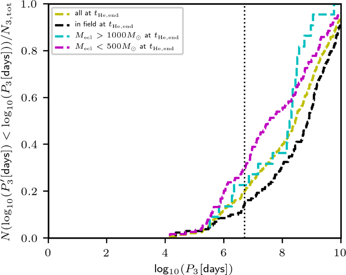
Cumulative distribution of orbital periods of the outer orbits in triples including Cepheids. We show separately the distribution for all Cepheids in triples in clusters and field combined (yellow lines), only in field (black lines), the Cepheids originating from more massive clusters (cyan), and the Cepheids originating from lower mass clusters (magenta). The distribution is normalised to the total number of triples N3,tot in each group.
Current usage metrics show cumulative count of Article Views (full-text article views including HTML views, PDF and ePub downloads, according to the available data) and Abstracts Views on Vision4Press platform.
Data correspond to usage on the plateform after 2015. The current usage metrics is available 48-96 hours after online publication and is updated daily on week days.
Initial download of the metrics may take a while.