Fig. 4

Download original image
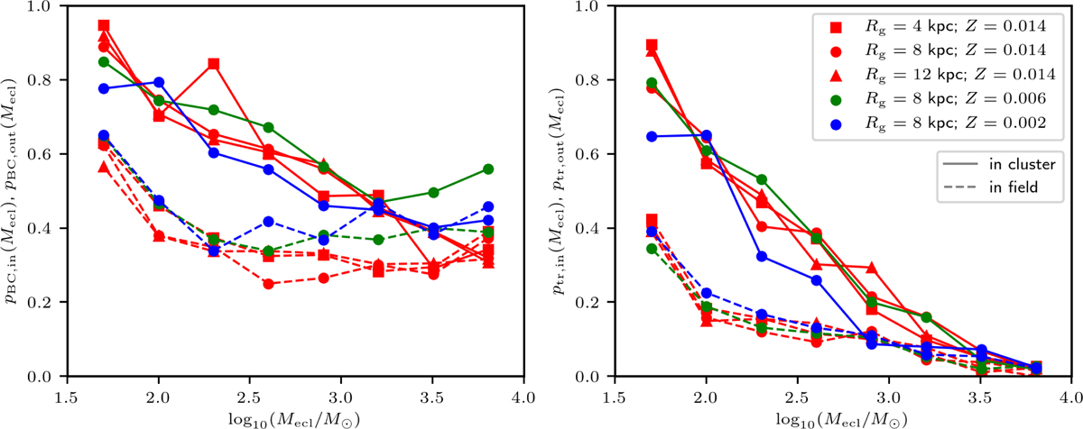
Fraction of Cepheids in binaries and triples as a function of the initial stellar mass of the embedded cluster where the Cepheids formed. Left panel: fraction of Cepheids in binaries of orbital period shorter than 1010 days. The fraction for Cepheids occurring in clusters and in the field is plotted separately by solid and dashed lines, respectively. Clusters at different galactocentric radii are shown by symbols, and clusters of different metallicity are shown by colours. Some of the Cepheids in binaries are orbited by an outer body, namely, they are the inner binary of a triple. Right panel: fraction of Cepheids in triples where the orbital period of the outer body is shorter than 1010 days. The meaning of the symbols is the same as in the left panel.
Current usage metrics show cumulative count of Article Views (full-text article views including HTML views, PDF and ePub downloads, according to the available data) and Abstracts Views on Vision4Press platform.
Data correspond to usage on the plateform after 2015. The current usage metrics is available 48-96 hours after online publication and is updated daily on week days.
Initial download of the metrics may take a while.