Open Access
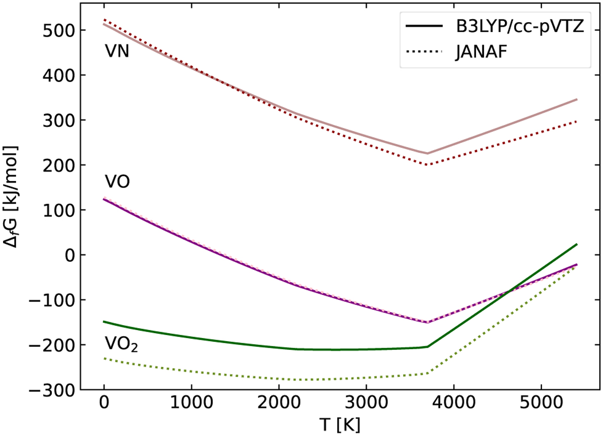
Fig. 1

Download original image
Gibbs free energies of formation (in kJ mol−1) for VN, VO, and VO2 as a function of temperature. Dotted lines correspond to the values available in the JANAF database and full lines represent the data obtained from our DFT calculations at the B3LYP/cc-pVTZ level of theory using the RRHO partition function.
Current usage metrics show cumulative count of Article Views (full-text article views including HTML views, PDF and ePub downloads, according to the available data) and Abstracts Views on Vision4Press platform.
Data correspond to usage on the plateform after 2015. The current usage metrics is available 48-96 hours after online publication and is updated daily on week days.
Initial download of the metrics may take a while.