Fig. 4

Download original image
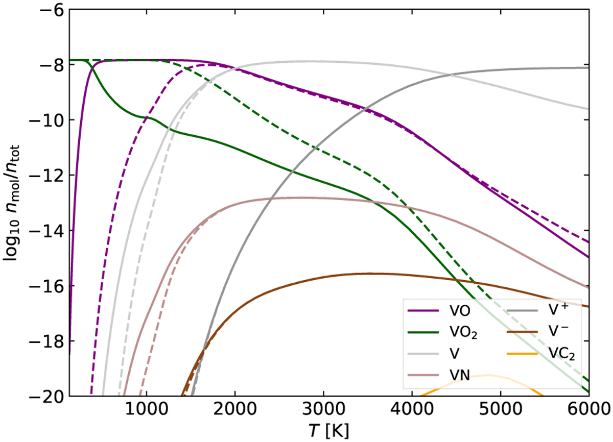
Comparison of the abundances of the vanadium-bearing species currently present in GGchem as a function of temperature. The dashed lines correspond to the data from previous studies already implemented in GGchem and the full lines correspond to the abundances obtained after implementing the ∆fG values obtained for VO and VO2 from our DFT calculations. The calculations were run at P = 1 bar and with solar elemental abundances from Asplund et al. (2009).
Current usage metrics show cumulative count of Article Views (full-text article views including HTML views, PDF and ePub downloads, according to the available data) and Abstracts Views on Vision4Press platform.
Data correspond to usage on the plateform after 2015. The current usage metrics is available 48-96 hours after online publication and is updated daily on week days.
Initial download of the metrics may take a while.