Fig. 13.

Download original image
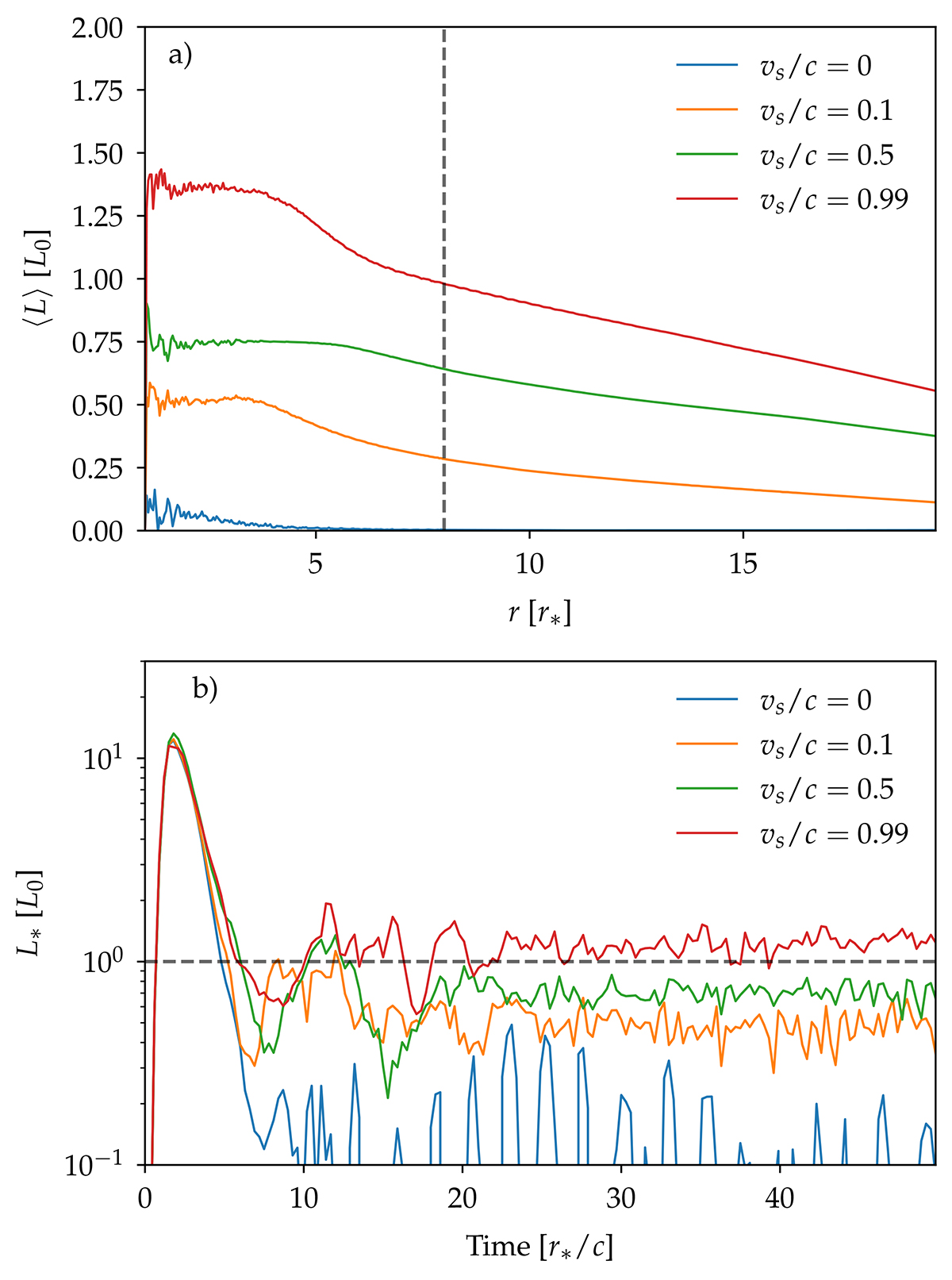
Radial and temporal dependencies of Poynting flux in simulations with surface injection proportional to nGJ with fixed ks = ns/nGJ = 0.2 and varying vs/c. a) shows the time-averaged luminosity ⟨L⟩ as a function of r after a stellar rotation period, and b) shows the temporal evolution of the surface Poynting flux L*. The dashed lines in a) and b) identify the light-cylinder radius and the theoretical surface Poynting flux L0 = μ2Ω4/c3, respectively.
Current usage metrics show cumulative count of Article Views (full-text article views including HTML views, PDF and ePub downloads, according to the available data) and Abstracts Views on Vision4Press platform.
Data correspond to usage on the plateform after 2015. The current usage metrics is available 48-96 hours after online publication and is updated daily on week days.
Initial download of the metrics may take a while.