Fig. 1.

Download original image
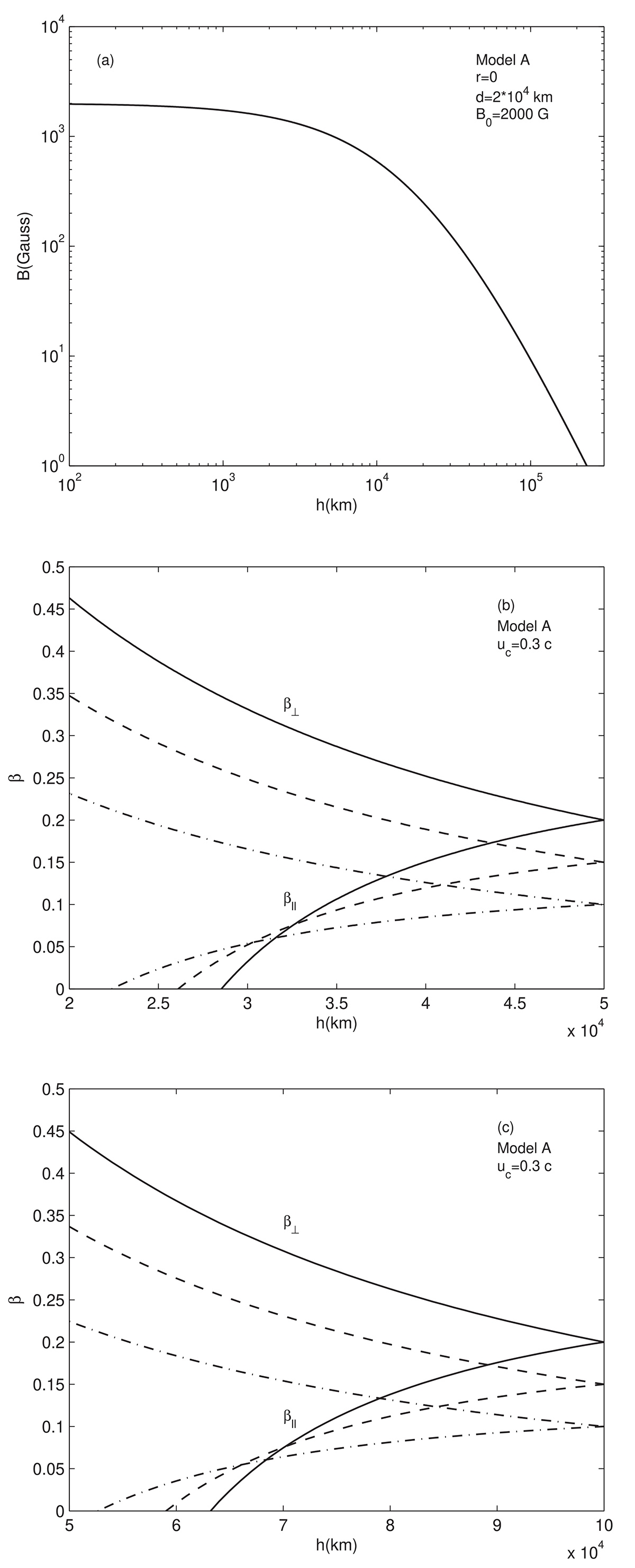
Magnetic field strength and momentum dispersion in active region for model A. Panel a: Magnetic field strength in the active region versus height for model A. Panel b and c: Evolution of momentum dispersion β⊥ and β∥ of FEBs as precipitating along the flare loop with hight h = 5 × 104 km and h = 1 × 105 km according to model A.
Current usage metrics show cumulative count of Article Views (full-text article views including HTML views, PDF and ePub downloads, according to the available data) and Abstracts Views on Vision4Press platform.
Data correspond to usage on the plateform after 2015. The current usage metrics is available 48-96 hours after online publication and is updated daily on week days.
Initial download of the metrics may take a while.