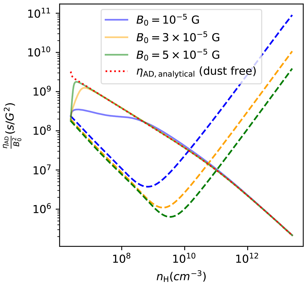
Fig. 5.

Download original image
Ambipolar resistivity, ηAD, (normalized with the squared initial magnetic field strength) evolution with gas density throughout the protostellar collapse, for different values of the initial magnetic field strength. Solid lines: growing dust distribution (γgrain = 190 erg cm−2). Dashed lines: non evolving MRN dust distribution. Dotted red line is the analytical dust-free solution.
Current usage metrics show cumulative count of Article Views (full-text article views including HTML views, PDF and ePub downloads, according to the available data) and Abstracts Views on Vision4Press platform.
Data correspond to usage on the plateform after 2015. The current usage metrics is available 48-96 hours after online publication and is updated daily on week days.
Initial download of the metrics may take a while.