Open Access
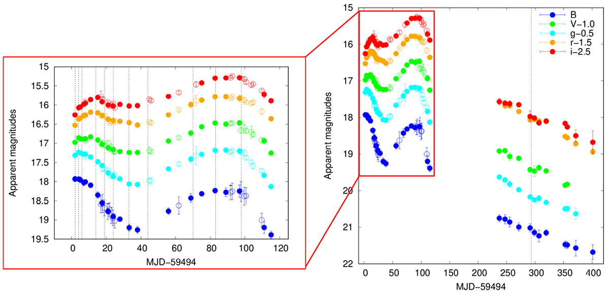
Fig. 1.

Download original image
BVgri photometry of SN 2021aatd. The filled and empty circles denote measurements from LCO sites and from Baja Observatory, respectively. The dotted vertical lines mark the epochs of spectroscopic observations shown in Table A.3.
Current usage metrics show cumulative count of Article Views (full-text article views including HTML views, PDF and ePub downloads, according to the available data) and Abstracts Views on Vision4Press platform.
Data correspond to usage on the plateform after 2015. The current usage metrics is available 48-96 hours after online publication and is updated daily on week days.
Initial download of the metrics may take a while.