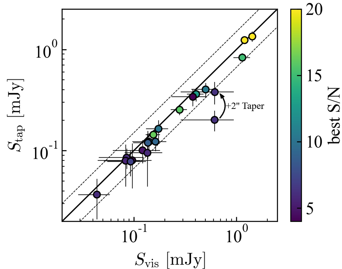
Fig. 4.

Download original image
Comparison of the flux density estimated from UVMULTIFIT and Taper images, color-coded according to the source S/N. The black solid line and dashed lines indicate a one-to-one relation and ±0.3 dex, respectively. We note that the visibility fitting has recovered the fluxes of the sources in the lower-resolution images well within the 1σ errors, except for CRISTAL-21 (see text).
Current usage metrics show cumulative count of Article Views (full-text article views including HTML views, PDF and ePub downloads, according to the available data) and Abstracts Views on Vision4Press platform.
Data correspond to usage on the plateform after 2015. The current usage metrics is available 48-96 hours after online publication and is updated daily on week days.
Initial download of the metrics may take a while.