Open Access
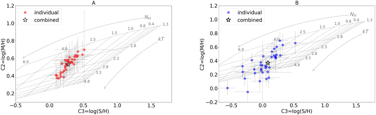
Fig. 6

Download original image
Colour–colour diagrams for the two brightest WR stars in Wd1. Black large symbols correspond to the combined exposure while small symbols to the individual observations. Error bars are shown at the 90% confidence level.
Current usage metrics show cumulative count of Article Views (full-text article views including HTML views, PDF and ePub downloads, according to the available data) and Abstracts Views on Vision4Press platform.
Data correspond to usage on the plateform after 2015. The current usage metrics is available 48-96 hours after online publication and is updated daily on week days.
Initial download of the metrics may take a while.