Fig. 6.

Download original image
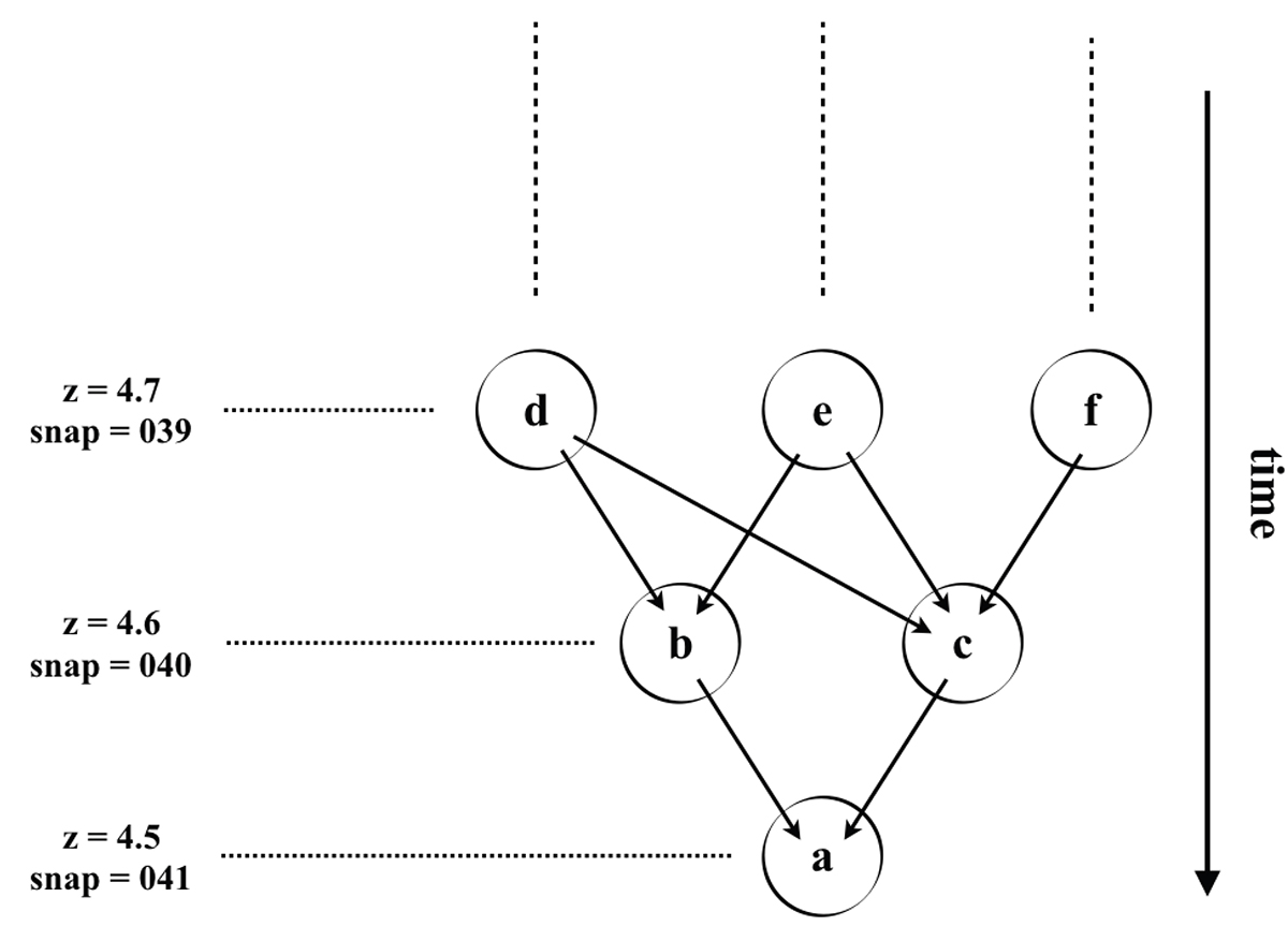
Illustration of an example of merger tree reconstruction. Starting from galaxy “a” at z = 4.5 (snap = 041), its progenitors at the previous snapshot are “b” and “c”. Merger trees have been reconstructed all simulated galaxies at z = 4.5 with masses of M⋆ ≥ 1010 M⊙, up to z = 5.1 (snap = 035). This allows us to reconstruct the mass assembly history of the simulated galaxies, identifying those systems that undergo major mergers, defined as galaxy interactions where the relative stellar mass ratio of the merging pair is 1 < μ⋆ < 4 (see text).
Current usage metrics show cumulative count of Article Views (full-text article views including HTML views, PDF and ePub downloads, according to the available data) and Abstracts Views on Vision4Press platform.
Data correspond to usage on the plateform after 2015. The current usage metrics is available 48-96 hours after online publication and is updated daily on week days.
Initial download of the metrics may take a while.