Open Access
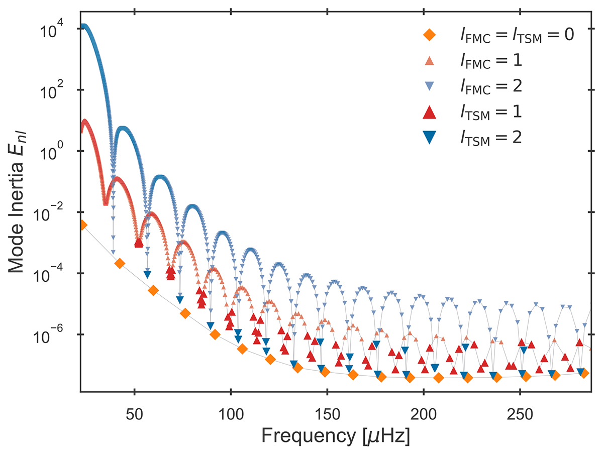
Fig. C.1.

Download original image
Mode inertia for an unevolved RGB star with Δν = 14.86 μHz, depicting the modes from a full model (transparent points) and truncated scanning method (opaque points) calculation, abbreviated FMC and TSM, respectively. The observable intervals are recovered for both the dipole (red) and quadrupole (blue) oscillation modes.
Current usage metrics show cumulative count of Article Views (full-text article views including HTML views, PDF and ePub downloads, according to the available data) and Abstracts Views on Vision4Press platform.
Data correspond to usage on the plateform after 2015. The current usage metrics is available 48-96 hours after online publication and is updated daily on week days.
Initial download of the metrics may take a while.