Fig. 6.

Download original image
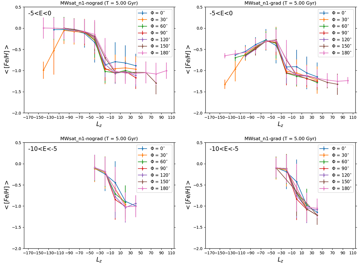
Mean metallicity and standard deviation as a function of the angular momentum interval of the E − Lz space (in every column of Figures 7, B.1) for all the simulations with Φ = 0 ° ,30 ° ,60 ° ,90 ° ,120 ° ,150 ° ,180°, in the energy range −5 < E < 0. The left panel shows the case with the initial vertical metallicity gradient only, while the right panel shows the one with the additional radial metallicity gradient.
Current usage metrics show cumulative count of Article Views (full-text article views including HTML views, PDF and ePub downloads, according to the available data) and Abstracts Views on Vision4Press platform.
Data correspond to usage on the plateform after 2015. The current usage metrics is available 48-96 hours after online publication and is updated daily on week days.
Initial download of the metrics may take a while.