Fig. 2.

Download original image
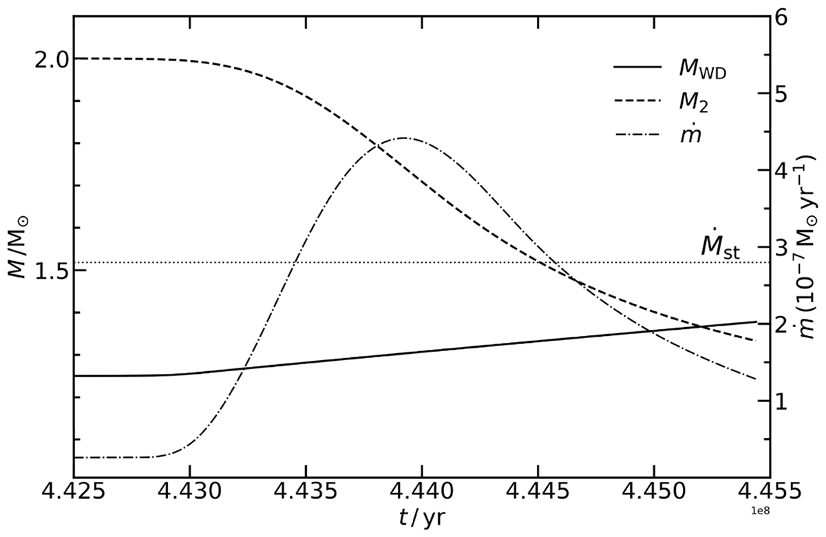
Example of the evolution of a binary. The solid line, dashed line, and dash-dot line represent the mass of the WD (MWD), the mass of the companion star (M2), and the mass transfer rate between the binary (ṁ), respectively. The initial mass of the WD is 1.25 M⊙, and the mass of the companion star is 2.0 M⊙. The initial binary orbital period is 1.7 d. Here, the Ṁst represents the stable accretion rate onto the WD.
Current usage metrics show cumulative count of Article Views (full-text article views including HTML views, PDF and ePub downloads, according to the available data) and Abstracts Views on Vision4Press platform.
Data correspond to usage on the plateform after 2015. The current usage metrics is available 48-96 hours after online publication and is updated daily on week days.
Initial download of the metrics may take a while.