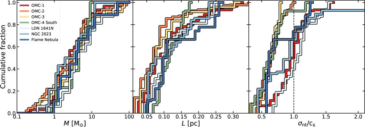
Fig. 6

Download original image
Cumulative distributions of the main physical properties obtained for the velocity-coherent structures identified in our EMERGE E ALMA sample (see colours in legend). (Left panel) Total mass of dense gas; (central panel) Total length; and (right panel) Non-thermal velo dispersion in units of the sound speed σnt/cs. A dashed black line shows the transition between sub- and trans-sonic regime (i.e. σnt/cs = 1).
Current usage metrics show cumulative count of Article Views (full-text article views including HTML views, PDF and ePub downloads, according to the available data) and Abstracts Views on Vision4Press platform.
Data correspond to usage on the plateform after 2015. The current usage metrics is available 48-96 hours after online publication and is updated daily on week days.
Initial download of the metrics may take a while.