Open Access
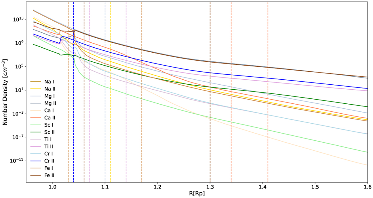
Fig. 8

Download original image
Number densities predicted by the NLTE model of Fossati et al. (2021) for the detected atoms in neutral and singly ionised form. The dashed lines indicate the height probed by the observations. Generally, the ionised species have higher number densities compared to the neutral ones.
Current usage metrics show cumulative count of Article Views (full-text article views including HTML views, PDF and ePub downloads, according to the available data) and Abstracts Views on Vision4Press platform.
Data correspond to usage on the plateform after 2015. The current usage metrics is available 48-96 hours after online publication and is updated daily on week days.
Initial download of the metrics may take a while.