Fig. 11.

Download original image
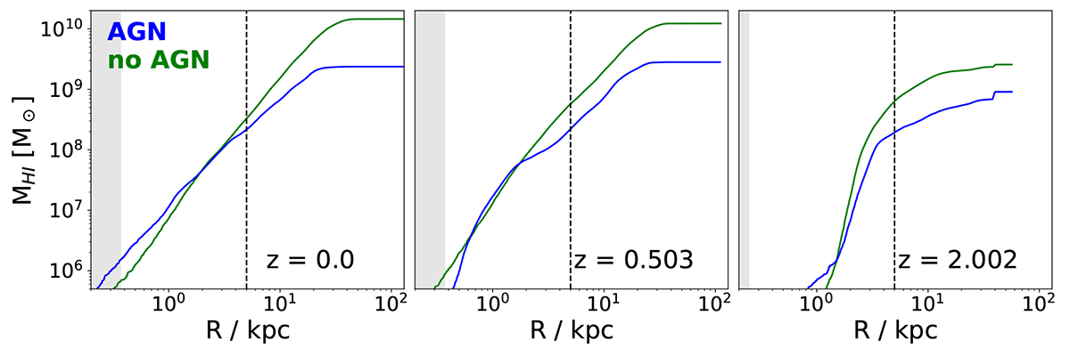
Cumulative HI mass vs galactic radius for the galaxy harbouring the largest BH at three different redshifts, H0. The non-AGN configuration is represented in green, and the AGN one in blue. The grey area indicates radii below the simulations’ physical softening length at the corresponding redshift, while the vertical line highlights a radius of 5 kpc, shown in Fig 10, to facilitate a comparison with the SFHs in the inner galaxy region (Fig. 5).
Current usage metrics show cumulative count of Article Views (full-text article views including HTML views, PDF and ePub downloads, according to the available data) and Abstracts Views on Vision4Press platform.
Data correspond to usage on the plateform after 2015. The current usage metrics is available 48-96 hours after online publication and is updated daily on week days.
Initial download of the metrics may take a while.