Fig. 8.

Download original image
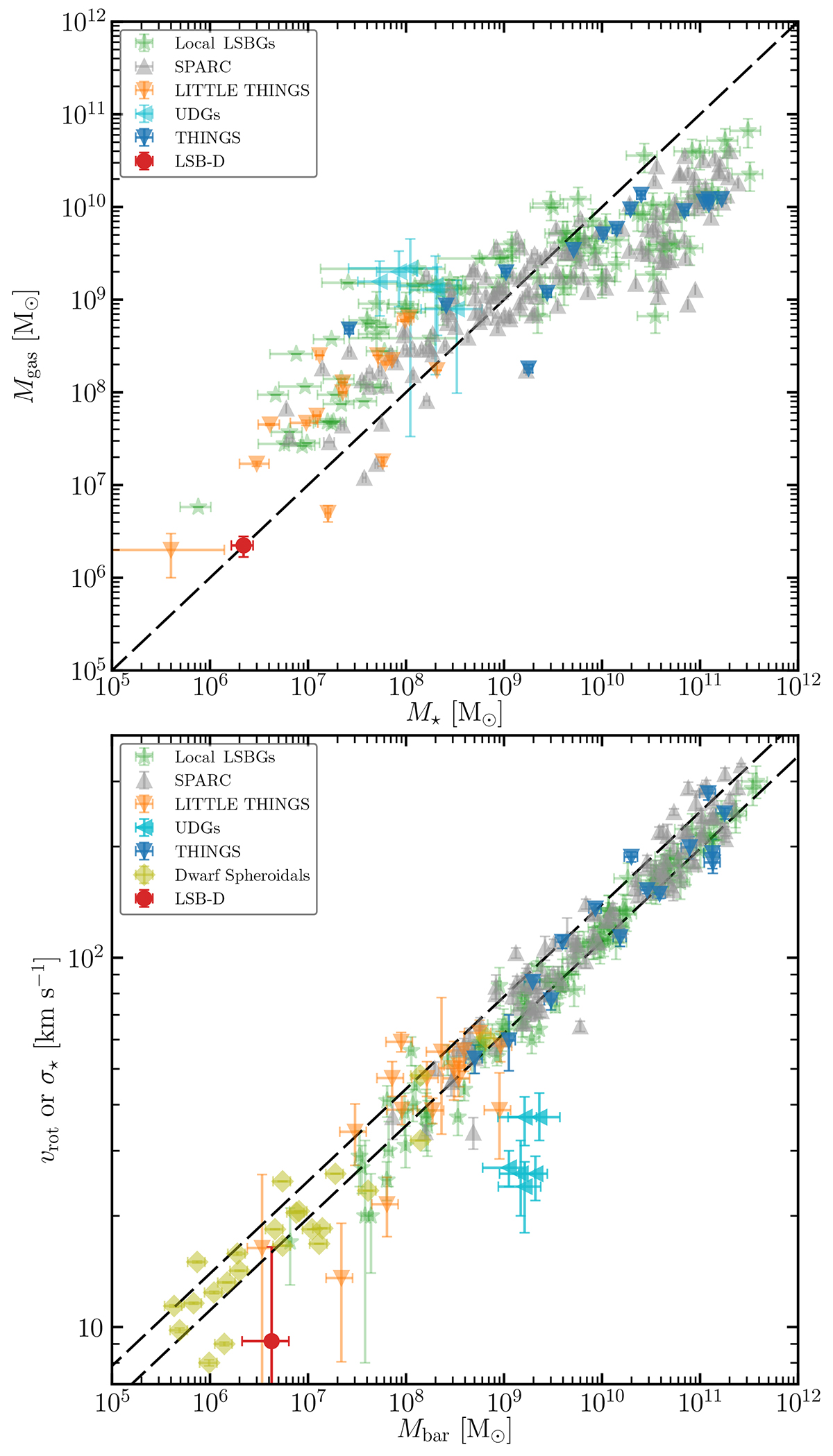
Top panel: gas mass versus stellar mass for a sample of galaxies in the Local Universe. LITTLE-THINGS, SPARC and THINGS galaxies are marked by triangles (in orange, grey, and blue, respectively). Local low surface brightness galaxies (LSBGs) from McGaugh (2011, 2017, 2021) are in green, and UDGs in cyan. LSB-D is marked by the red circle. The dashed line marks the 1 : 1 linear relation. Bottom panel: the baryonic Tully-Fisher relation of Local Group dwarf and spiral galaxies (dashed line; McGaugh et al. 2021). Symbols are as in the top panel. For the Local LSBGs sample, pressure supported dwarfs (plotted against their velocity dispersion, σv) are marked by light green squares, while green triangles mark rotationally supported galaxies, plotted against their rotational velocity, vrot.
Current usage metrics show cumulative count of Article Views (full-text article views including HTML views, PDF and ePub downloads, according to the available data) and Abstracts Views on Vision4Press platform.
Data correspond to usage on the plateform after 2015. The current usage metrics is available 48-96 hours after online publication and is updated daily on week days.
Initial download of the metrics may take a while.