Fig. 13.

Download original image
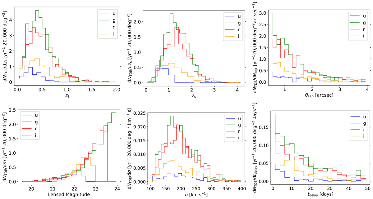
Distributions of the lensing properties of the strongly lensed L2 systems from detections in each of the u, g, r and i bands after applying image separation cuts and LSST1 magnitude cuts. Top panels from left to right: lens galaxy redshift zl, TDE redshift zs, and image separation θsep. Bottom panels from left to right: lensed magnitude (magnitude of the fainter image in a double system or the third brightest image in a quadruple system), stellar velocity dispersion σ of the lens galaxy, and time delays tdelay of all images in the lensed systems.
Current usage metrics show cumulative count of Article Views (full-text article views including HTML views, PDF and ePub downloads, according to the available data) and Abstracts Views on Vision4Press platform.
Data correspond to usage on the plateform after 2015. The current usage metrics is available 48-96 hours after online publication and is updated daily on week days.
Initial download of the metrics may take a while.