Open Access
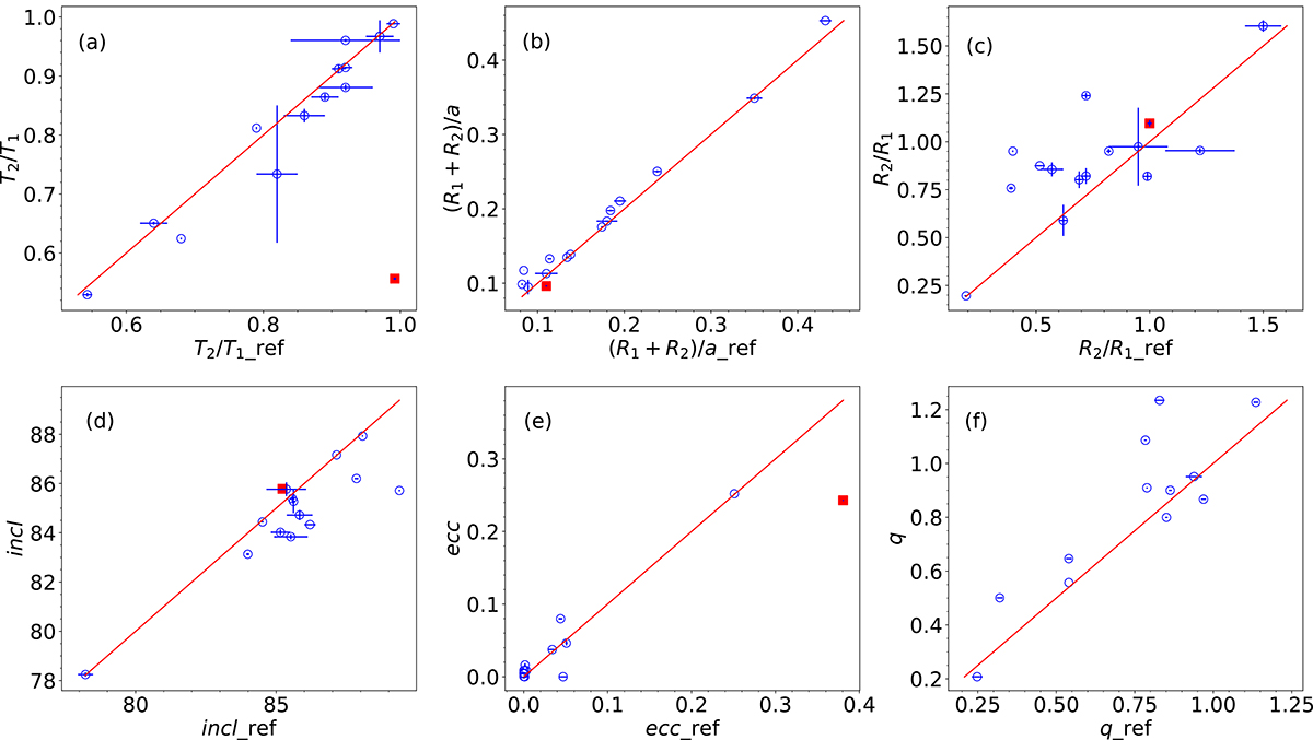
Fig. 5.

Download original image
Comparison of the orbital parameters obtained here and in the references. The solid lines are the 1:1 diagonal lines. The error bars represent the errors of the parameters obtained from the references. The square indicates the outlier KIC 6859813.
Current usage metrics show cumulative count of Article Views (full-text article views including HTML views, PDF and ePub downloads, according to the available data) and Abstracts Views on Vision4Press platform.
Data correspond to usage on the plateform after 2015. The current usage metrics is available 48-96 hours after online publication and is updated daily on week days.
Initial download of the metrics may take a while.