Fig. B.1.

Download original image
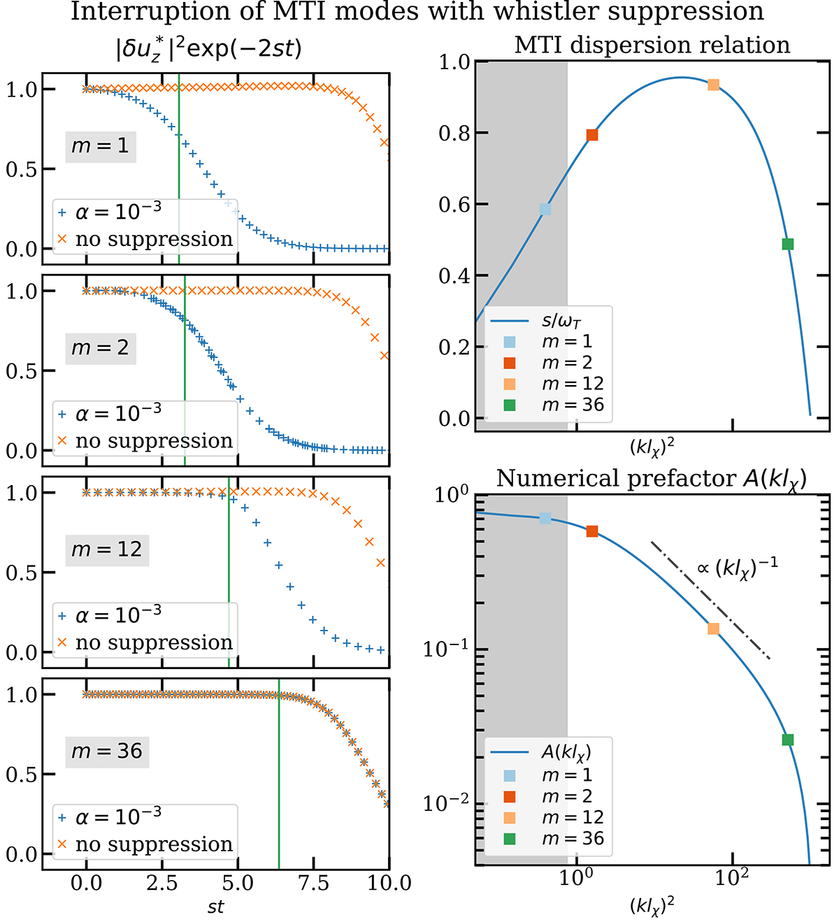
Interruption of exponential growth of MTI modes with whistler suppression of thermal diffusivity. Left column: Compensated amplitude of the MTI eigenmode as a function of time (nondimensionalized by the growth rate s) for perturbations of different wavenumbers: k = 2πm/L, with m = 1, 2, 12, 36. The green vertical lines show when the second term in Eq. (B.3) becomes unity, which roughly corresponds to the point where the thermal diffusivity is suppressed. Right column: Real part of MTI dispersion relation and growth rates for our runs (top panel), and amplitude of the numerical prefactor A as a function of the wavenumber (bottom panel). The gray shaded area indicates the wavenumbers for which the growing MTI eigenmodes are in the regime of slow conduction (i.e., k2χ0/s < 1).
Current usage metrics show cumulative count of Article Views (full-text article views including HTML views, PDF and ePub downloads, according to the available data) and Abstracts Views on Vision4Press platform.
Data correspond to usage on the plateform after 2015. The current usage metrics is available 48-96 hours after online publication and is updated daily on week days.
Initial download of the metrics may take a while.