Open Access

Fig. 2

image

Download original image

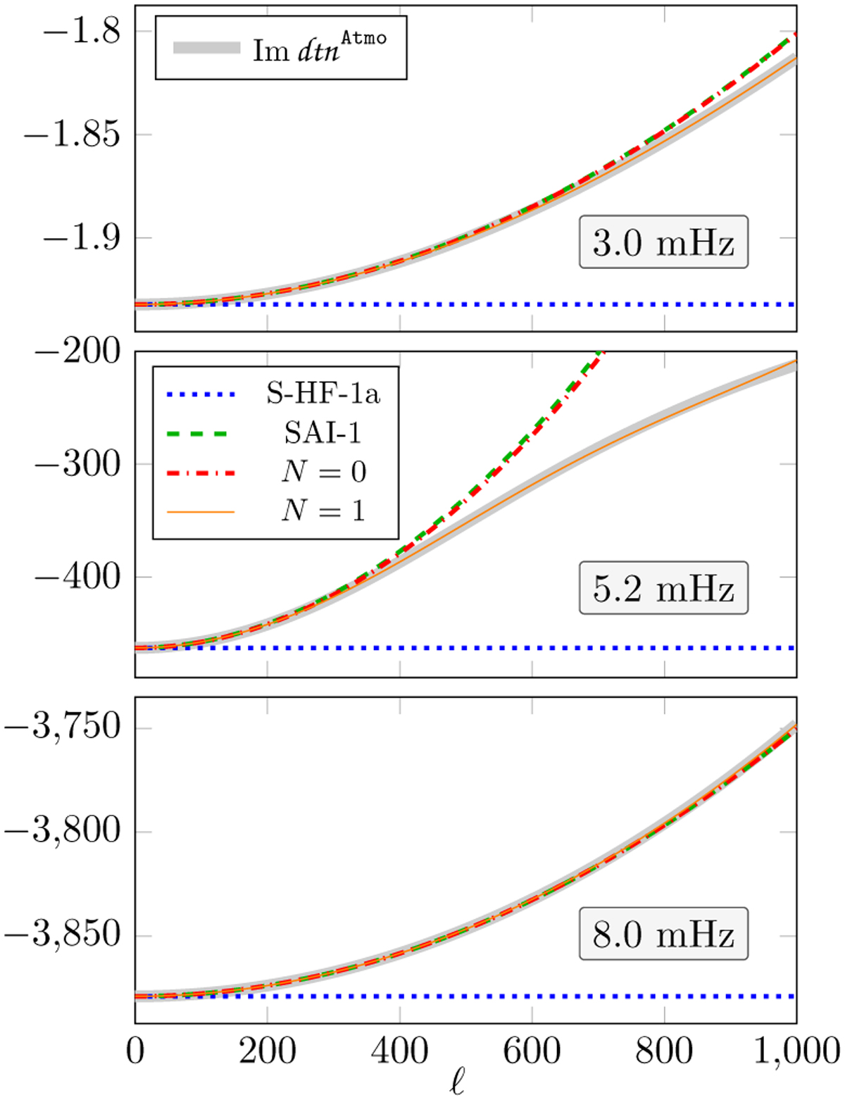
Comparison of 𝒹t𝓃 approximations provided by different transparent boundary conditions at 3.0, 5.2, and 8.0 mHz for the Atmo model at rt = 510 km. The reference is given by Eq. (13), and the boundary conditions S-HF-1a and SAI-1 from Barucq et al. (2020) are recalled in Eqs. (23) and (24). The LIE boundary conditions for N = 0 and N = 1 are obtained by solving the minimisation problem defined in Eq. (29).

Current usage metrics show cumulative count of Article Views (full-text article views including HTML views, PDF and ePub downloads, according to the available data) and Abstracts Views on Vision4Press platform.

Data correspond to usage on the plateform after 2015. The current usage metrics is available 48-96 hours after online publication and is updated daily on week days.

Initial download of the metrics may take a while.