Open Access

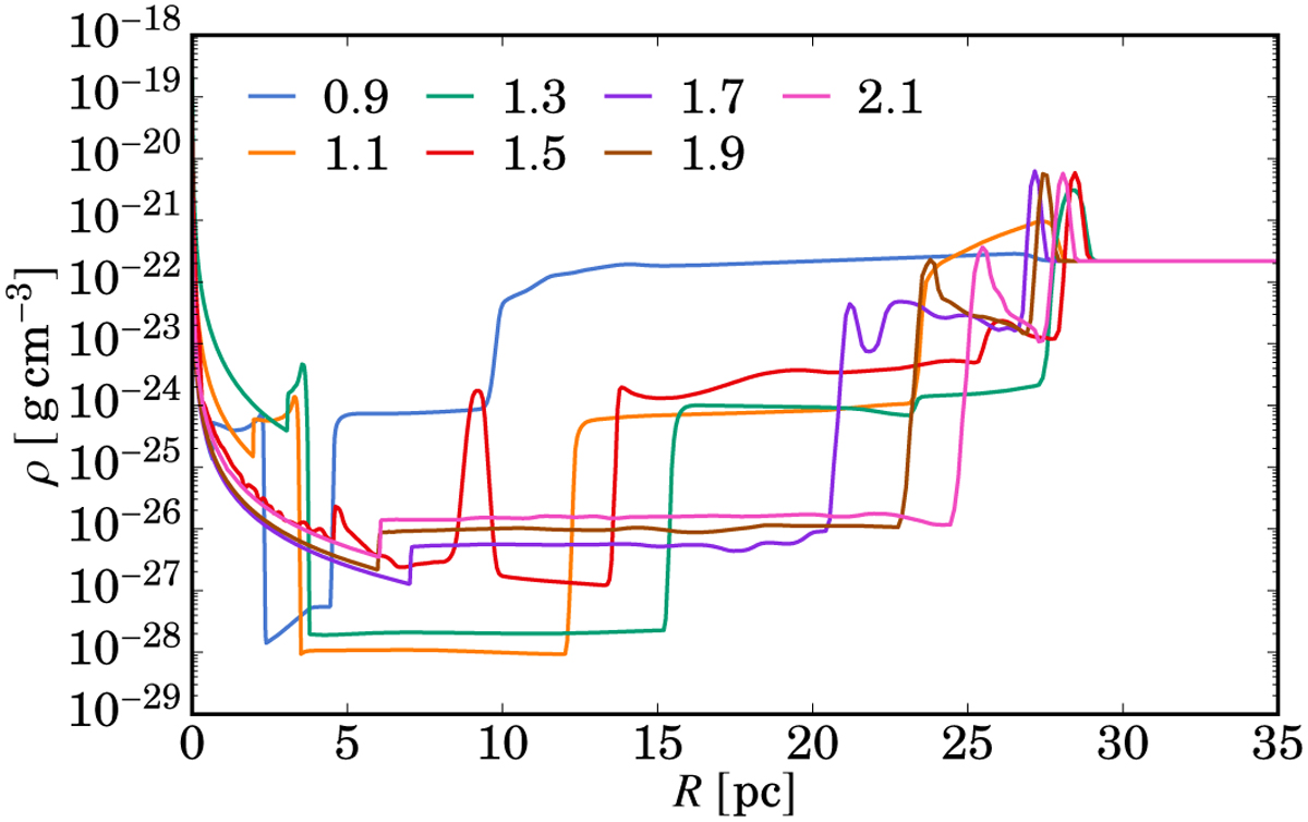
Fig. 4

image

Download original image

Density profiles of our simulations with single star models of Z = 0.004, υini = 0 km s−1, in a uniform medium of n = 100 cm−3 at the end of the star’s lifetime. For clarity, we show only the profiles of very second model of this sequence of stellar models. The labels indicate the logarithm of the initial masses in M.

Current usage metrics show cumulative count of Article Views (full-text article views including HTML views, PDF and ePub downloads, according to the available data) and Abstracts Views on Vision4Press platform.

Data correspond to usage on the plateform after 2015. The current usage metrics is available 48-96 hours after online publication and is updated daily on week days.

Initial download of the metrics may take a while.