Open Access
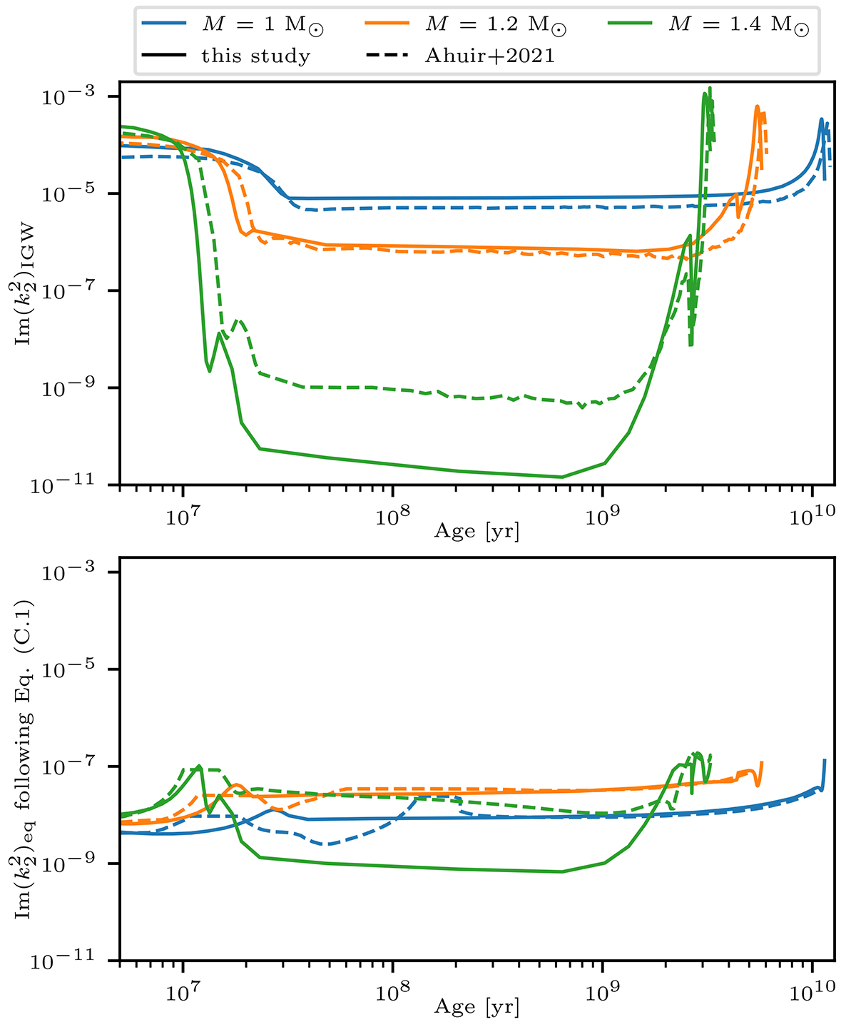
Fig. C.1.

Download original image
Complex part of the Love number for dynamical (Im(k22)IGW; upper plot) and equilibrium (Im(k22)eq following Eq. C.1; lower plot) tides, as a function of stellar age, for both the Ahuir et al. (2021a) results (dashed lines) and results from this study (solid lines).
Current usage metrics show cumulative count of Article Views (full-text article views including HTML views, PDF and ePub downloads, according to the available data) and Abstracts Views on Vision4Press platform.
Data correspond to usage on the plateform after 2015. The current usage metrics is available 48-96 hours after online publication and is updated daily on week days.
Initial download of the metrics may take a while.