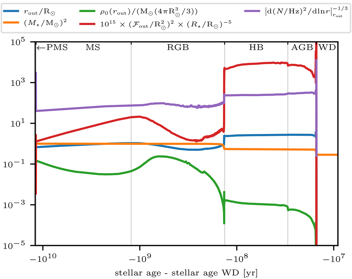
Fig. 7.

Download original image
Different components appearing in the dissipation of the dynamical tide (Eq. (13)) as a function of stellar age. The change in radius of the radiative-convective boundary is represented in blue, the change in stellar mass in orange, the change in local density at the boundary in green, the change in tidal forcing compared to changes in the stellar radius in red, and change in the derivative of the Brunt-Väisälä frequency in purple. Stellar evolutionary phases (PMS to WD) are indicated.
Current usage metrics show cumulative count of Article Views (full-text article views including HTML views, PDF and ePub downloads, according to the available data) and Abstracts Views on Vision4Press platform.
Data correspond to usage on the plateform after 2015. The current usage metrics is available 48-96 hours after online publication and is updated daily on week days.
Initial download of the metrics may take a while.