Fig. 4.

Download original image
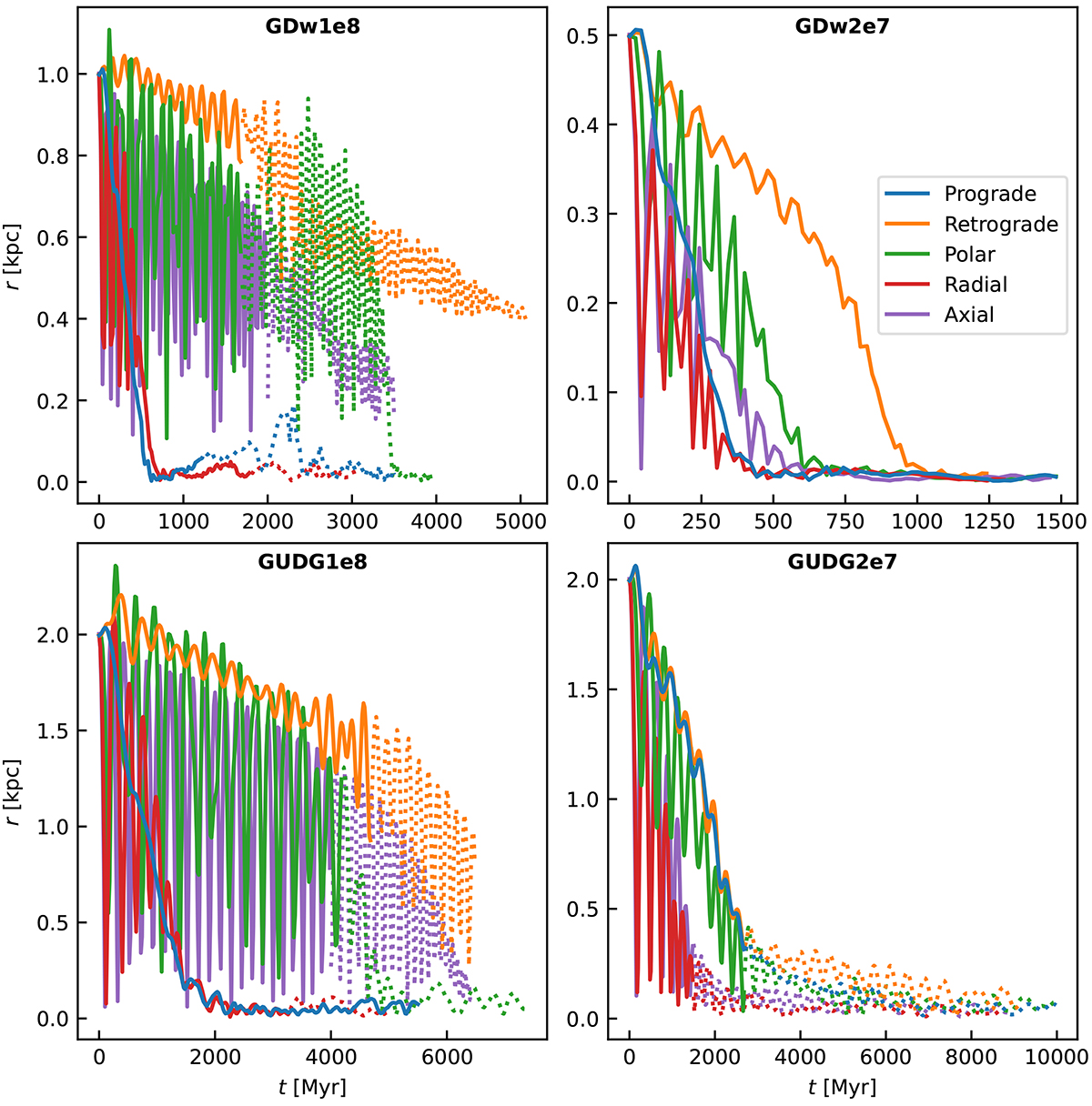
Evolution of the distance of the GC from the stellar barycenter of the galaxy for the MOND models without star formation. Each panel corresponds to the galaxy model and each curve to a specific orbit of the GC. The dotted parts of the lines indicate unreliable parts: either the galaxy develops a bar that affects the motion of the GC, or (for GUDG2e7) the GC moves less than three resolution elements from the center.
Current usage metrics show cumulative count of Article Views (full-text article views including HTML views, PDF and ePub downloads, according to the available data) and Abstracts Views on Vision4Press platform.
Data correspond to usage on the plateform after 2015. The current usage metrics is available 48-96 hours after online publication and is updated daily on week days.
Initial download of the metrics may take a while.