Open Access

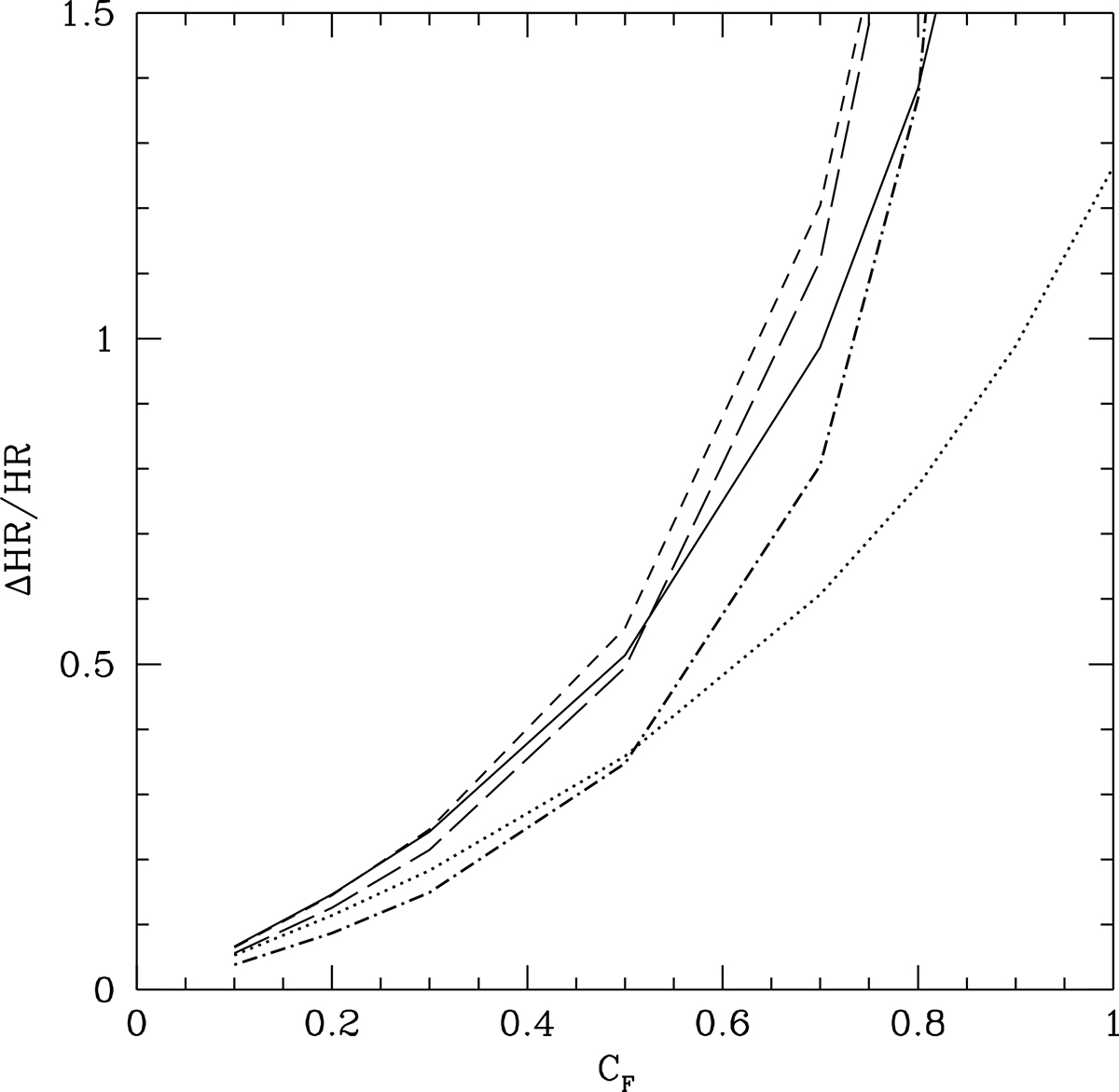
Fig. B.2.

image

Download original image

Δ(HR)/HR as a function of CF for different values of the column density. The dotted line curve corresponds to NH = 5 × 1022cm−2, the solid curve to NH = 1 × 1023cm−2, the short-dashed curve to NH = 2 × 1023cm−2, the long-dashed curve to NH = 3 × 1023cm−2, and the dash-dotted curve refers to NH = 5 × 1023cm−2

Current usage metrics show cumulative count of Article Views (full-text article views including HTML views, PDF and ePub downloads, according to the available data) and Abstracts Views on Vision4Press platform.

Data correspond to usage on the plateform after 2015. The current usage metrics is available 48-96 hours after online publication and is updated daily on week days.

Initial download of the metrics may take a while.