Open Access
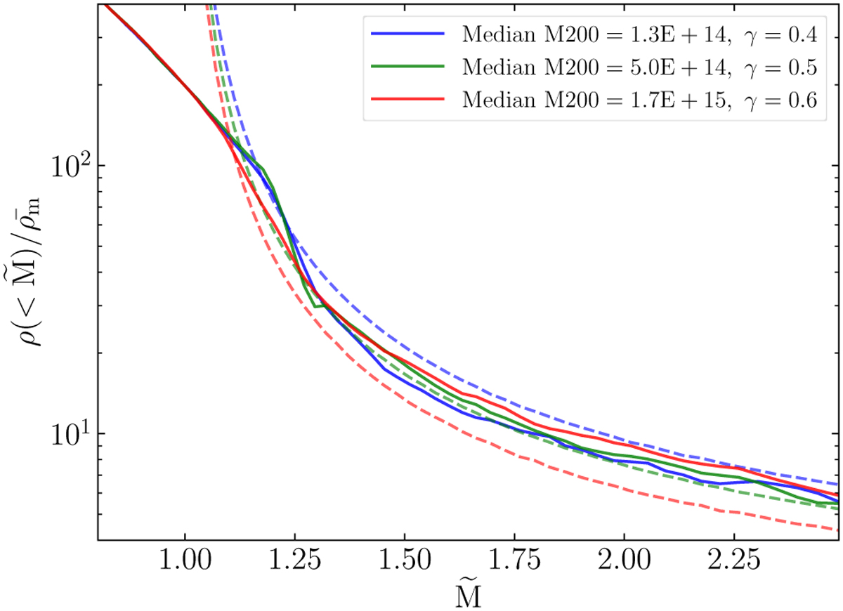
Fig. 3

Download original image
Most probable average matter-density profile from our analytical model (dashed lines) and MDP12 (solid lines), for different ranges of cluster masses M200. The independent variable is equivalent to β in Eq. (8).
Current usage metrics show cumulative count of Article Views (full-text article views including HTML views, PDF and ePub downloads, according to the available data) and Abstracts Views on Vision4Press platform.
Data correspond to usage on the plateform after 2015. The current usage metrics is available 48-96 hours after online publication and is updated daily on week days.
Initial download of the metrics may take a while.