Open Access

Fig. 10

image

Download original image

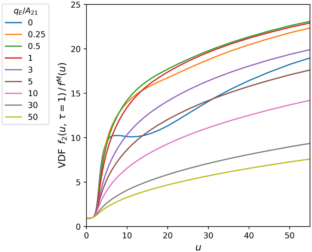
Dependence of the ratio of the VDF of the upper-level to the Maxwellian distribution at τ = 1 (namely, f2(u,τ = 1)/fM(u)) on the phase-changing elastic collision rate qE/A21 (indicated in the figure legend). With increasing values of qE/A21, the departure of the f2 from Maxwellian initially increases (until qE/A21 = 0.5) and then decreases.

Current usage metrics show cumulative count of Article Views (full-text article views including HTML views, PDF and ePub downloads, according to the available data) and Abstracts Views on Vision4Press platform.

Data correspond to usage on the plateform after 2015. The current usage metrics is available 48-96 hours after online publication and is updated daily on week days.

Initial download of the metrics may take a while.