Open Access

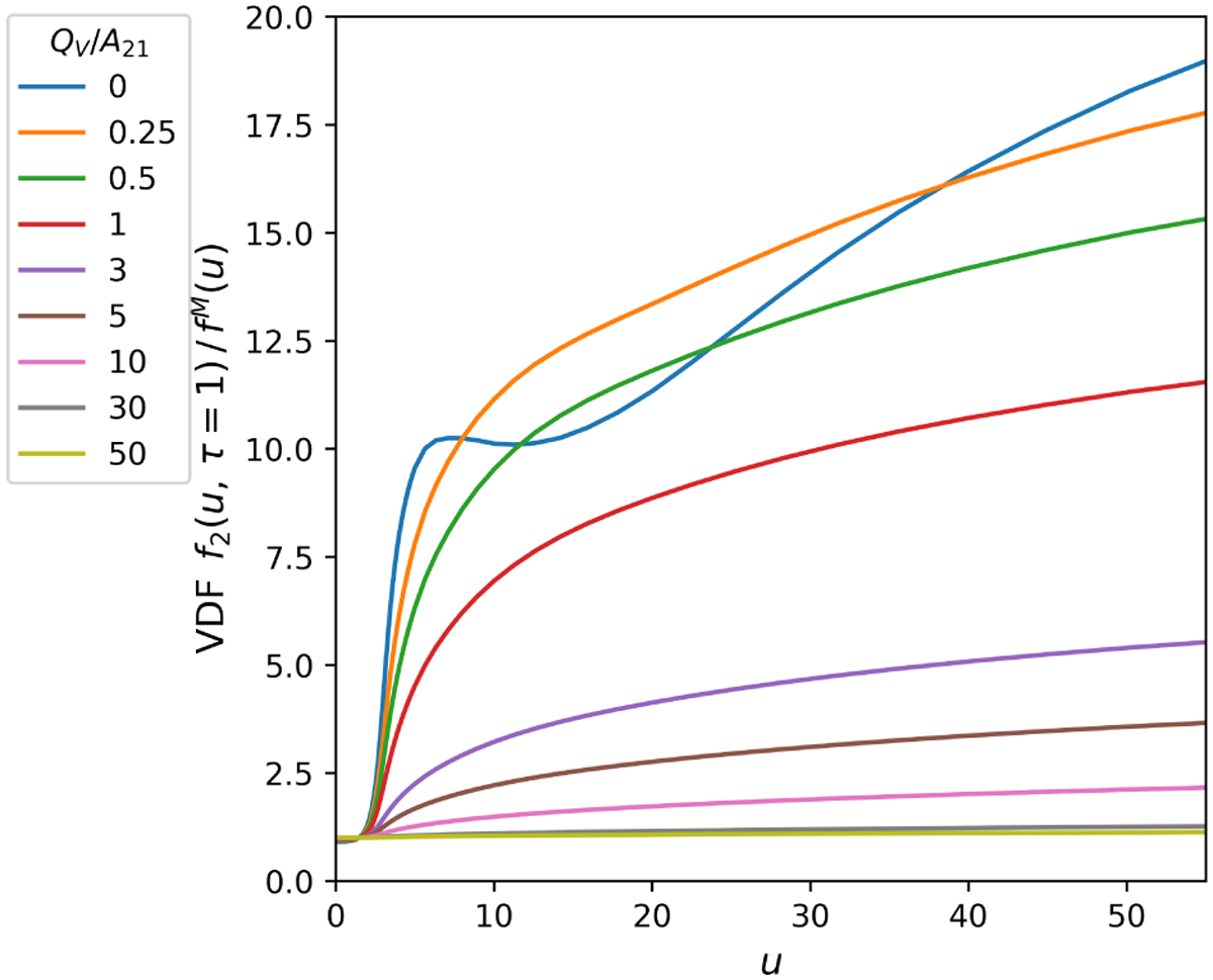
Fig. 7

image

Download original image

Dependence of the ratio of the VDF of the upper level to the Maxwellian distribution at τ = 1 (namely, f2(u,τ = 1)/fM(u)) on velocity-changing collisions. With increasing values of QV/A21, the departure of the f2 from Maxwellian initially increases for QV /A21 = 0.25 in the regime of intermediate velocities and then decreases.

Current usage metrics show cumulative count of Article Views (full-text article views including HTML views, PDF and ePub downloads, according to the available data) and Abstracts Views on Vision4Press platform.

Data correspond to usage on the plateform after 2015. The current usage metrics is available 48-96 hours after online publication and is updated daily on week days.

Initial download of the metrics may take a while.