Open Access
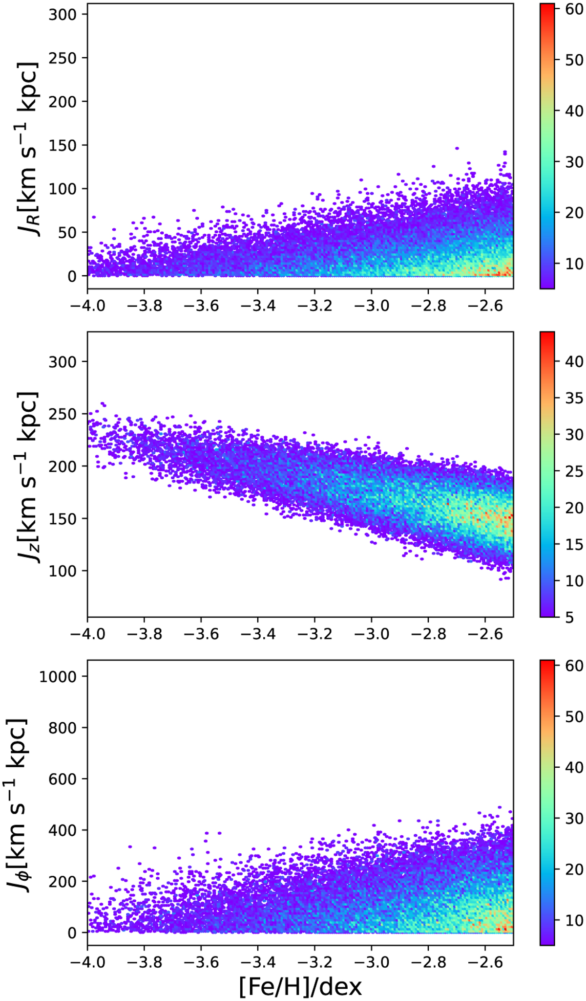
Fig. 2

Download original image
The chemical model of the bulge used in this work showing the relation between [Fe/H] and actions. The three panels are colour-coded in number density for Jr, Jz, and Jϕ respectively. As we only focus on the metal-poor tail of the bulge, the x − axis is truncated at [Fe/H] = −2.5 in this plot.
Current usage metrics show cumulative count of Article Views (full-text article views including HTML views, PDF and ePub downloads, according to the available data) and Abstracts Views on Vision4Press platform.
Data correspond to usage on the plateform after 2015. The current usage metrics is available 48-96 hours after online publication and is updated daily on week days.
Initial download of the metrics may take a while.