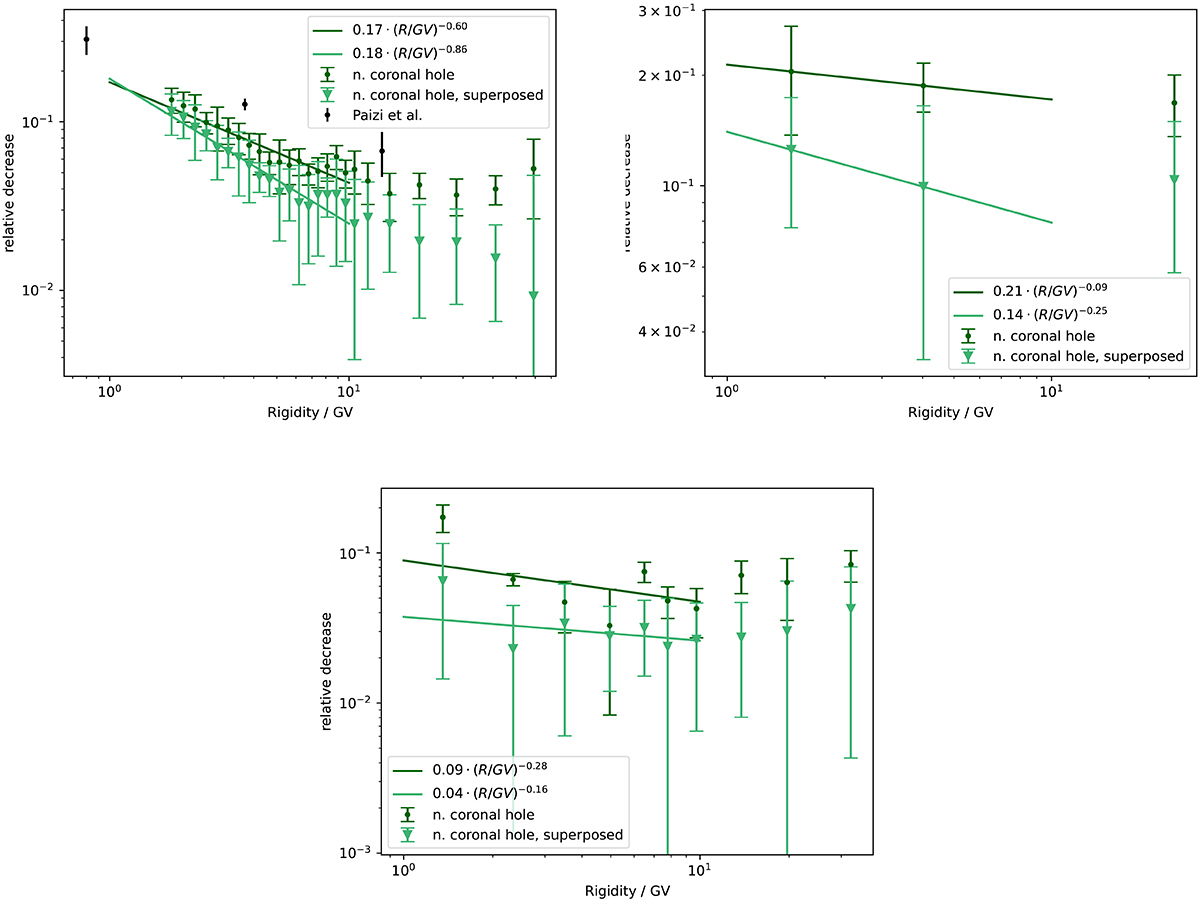
Fig. A.2.

Download original image
Relative amplitudes of FDs vs. rigidity for helium (upper left), positrons (upper light) and electrons (lower panel). Dark green is based on averaging the 5 FDs while light green is based on the superposed epoch analysis. The relative amplitudes have been fitted by a power law in the rigidity range from 1-10 GV for both methods.
Current usage metrics show cumulative count of Article Views (full-text article views including HTML views, PDF and ePub downloads, according to the available data) and Abstracts Views on Vision4Press platform.
Data correspond to usage on the plateform after 2015. The current usage metrics is available 48-96 hours after online publication and is updated daily on week days.
Initial download of the metrics may take a while.