Open Access

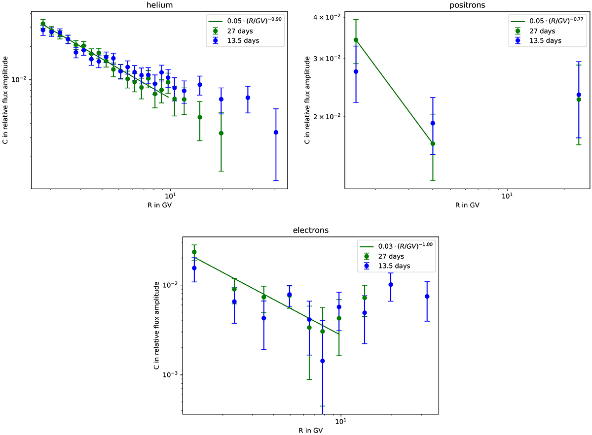
Fig. C.3.

image

Download original image

Amplitude of the Lomb-Scargle fit (Eq. 6) vs. rigidity for a periodicity of 27 and 13.5 days for helium positrons and electrons. The solid lines represent a power-law fit below 10 GV (Eq. 3) to the data.

Current usage metrics show cumulative count of Article Views (full-text article views including HTML views, PDF and ePub downloads, according to the available data) and Abstracts Views on Vision4Press platform.

Data correspond to usage on the plateform after 2015. The current usage metrics is available 48-96 hours after online publication and is updated daily on week days.

Initial download of the metrics may take a while.