Fig. 5.

Download original image
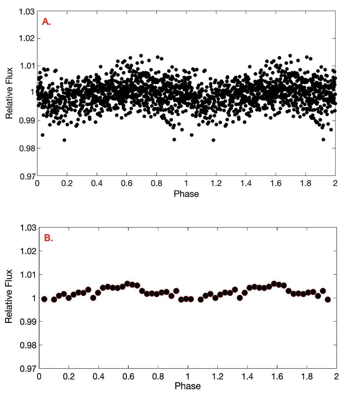
A. Phase-folded light curve of 2M J0746+20B from all epochs combined, after subtracting out the ∼3.32 hours periodicity attributed to the rotational period of the primary component. These unbinned data are folded to our newly discovered rotation period in the optical of ∼2.14 hours. B. The same data in plot A except binned in phase by a factor of 10 for clarity.
Current usage metrics show cumulative count of Article Views (full-text article views including HTML views, PDF and ePub downloads, according to the available data) and Abstracts Views on Vision4Press platform.
Data correspond to usage on the plateform after 2015. The current usage metrics is available 48-96 hours after online publication and is updated daily on week days.
Initial download of the metrics may take a while.